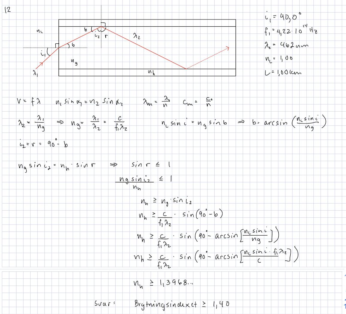
Optik
Hej! Facit behöver inte läsas, men finns där ifall att. Men jag är förvirrad. Jag tycker nh ≥ 1,40. Min miniräknare säger error om jag försöker beräkna r i min figur med värden som är mindre än 1,40. Hela poängen är väl att sin r ≤ 1, och med lite omöblering får jag , vilket bara är sant för nh ≥ 1,40. Detta är en gammal tenta och ingen av lärarna har nämnt något fel med den, så jag tvivlar på att jag har rätt. Vad missar jag?



Ed: Förstår inte deras sista stycke i lösningsförslaget. Kan svaret på min fråga finnas där?
Förtydligande: nl = brytingsindex för luft (1,00)
ng = brytingsindex för glaset
nh =brytingsindex för höljet
HannaKN skrev:
Min miniräknare säger error...
Det ska den göra om du slår in arcsin av ett tal större än 1 (eller mindre än -1).
Ja, jag sa det för att förtydliga att sin r ≥ 1 för nh≤ 1,40 och att det av den anledningen inte borde vara sant? Det var inte heller det jag frågade om...