0
svar
6
visningar
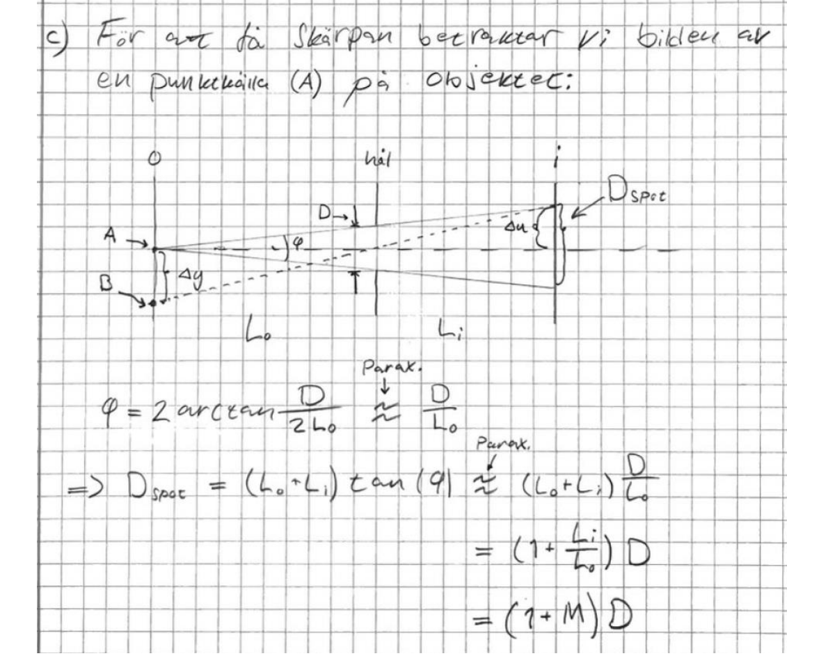
Optik - behövs en paraxial approximation eller inte?
Vi är på uppgift c):
Med tillhörande "facit/lösningsförslag":

I min värld gör hen inkorrekta och onödiga paraxiala approximationer. Uppgiften kan enkelt lösas exakt genom att uttrycka på två sätt. Stämmer det, eller tänker jag fel någon stans?