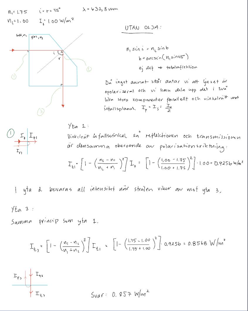
Optik och Fresnels formler
Hej! Jag undrar om jag har gjort rätt på denna uppgift. Finns ingen facit samt jag har inte använt våglängden så det känns som att jag har gjort något fel.




Spelar oljehinnan någon roll?
Ja det verkar ju så enligt mina beräkningar, den gör ju att det inte blir totalreflektion i och med att den har ett högre brytningsindex?
Megalomanen skrev:Ja det verkar ju så enligt mina beräkningar
Borde det i så fall inte bero på oljeskiktets tjocklek?
Eller räcker det med ett molekyllager?
Vad jag vet så ska det inte spela någon roll
Megalomanen skrev:Vad jag vet så ska det inte spela någon roll
Då behöver du rita strålgången i detalj för ett tjockt skikt med olja.
juste för då kommer det även reflekteras och transmitteras i gränsen olja-luft?
Megalomanen skrev:juste för då kommer det även reflekteras och transmitteras i gränsen olja-luft?
Eller kanske inte transmitteras.
men oavsett så är jag bara intresserad av den strålen som reflekteras vid yta 2, så vad som händer där spelar ju ingen roll
Kan något ljus komma ut i luften efter oljan?