0
svar
145
visningar
Optimalt sparande (Fråga 2)
Hej! Det här är en följd fråga på min föregående tråd om Optimalt sparande. Det är så att jag behöver tips om hur jag ska lösa nedanstående uppgift. Jag har en aning om vad jag ska göra men är inte helt säker på om det är rätt.




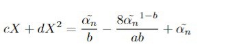
Det jag antar dem vill att man ska göra är att från (4) få f(X) = -U(alpha)/U'(alpha) + a och sedan lösa ut så att man får alpha(X) = ...
Jag antar att de vill att man ska använda sig av U(alpha) = 8 - a*alpha^b samt U'(alpha) -ab*alpha^(b-1) och sedan sätta in alla koefficienter som man skattat, (a och b) samt koefficienterna i f(X) (c och d). Jag får dock ett bökigt uttryck som ej går och lösa ut alpha(X) ifrån. Jag fick det här:
