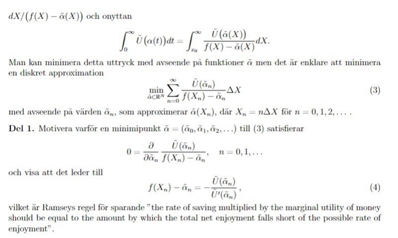
Optimalt sparande
Hej! Jag håller på med en uppgift just nu som handlar om lite programmering i Matlab. Men den första frågan är mer av teoretisk karaktär och jag förstår tyvärr inte den så mycket. Har tänkt länge men vet inte hur jag ska angripa frågan. För att förstå sig på frågan krävs kanske att man läser hela texten som skickats. Tack!


Den långa texten är mer för att intressera läsaren och behövs inte förstås för att lösa uppgiften.
Delfråga 1 handlar helt enkelt om att verifiera extrempunkten för uttrycket (3), vilket görs genom att sätta samtliga partiella derivator till 0.
Uttrycket (4) får du genom att derivera ovanstående uttryck mha kedjeregeln.
Tack! men det känns fortfarande lite förvirrande dock på första frågan. Jag nämnde att eftersom det är en extrempunkt gäller det per definition att om man har en vektor är gradienten av den = 0. Alltså att varje partiella derivatan för n = 0, 1, 2... är = 0. Är det allt som typ behövs?
Ja precis, tror att det borde räcka så.