11 svar
427 visningar
Louiger behöver inte mer hjälp
Louiger 470
Postad: 15 apr 2020 20:23

Optimering flerdim

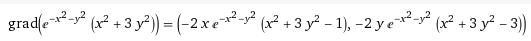
Vad gör jag för fel?! Största värdet ska bli 2 oh minsta -1/4. När jag ränkade på denna förut fick jag fram minsta värdet iaf nu får jag inte fram det heller 🤦‍♀️ jag kan ju inte kolla hörnen i i cirkel!

Bedinsis Online 3343
Postad: 15 apr 2020 22:28

Flerdim är ett ämne jag bara har ett vagt minne av hur man gör det. Så ta det jag skriver med ett decilitermått med salt.

Jag prövade att sätta in (x,y) = (0.5,0). Detta gav - 1/4.

Då detta var minimum efter vad du angav så tyckte jag det var värt att undersöka

f12+h,0+k=12+h2+12+h*0+k2-1=14+h+h2-12-h+k2*12+h*k2=-14+h2+k22+h*k2

För att undersöka detta skall man alltså se om det finns små absolut-värden på h och k som gör att ekvationen antar värden mindre än -14

Men låt mig skriva om slutekvationen lite:

-14+h2+h+12*k2

Sådär. h2k2 är alltid positiva. Det enda sättet att få någon term att bli mindre är om faktorn framför k2blir negativ. Detta sker först då h<-12. Samtidigt gör detta att h2-termen blir större ju mindre vi gör h, men är k2-termen stor nog har det ingen betydelse. Och... sedan fastnade jag. Och eftersom jag har på känn att man inte ska behöva gå så här långt för att hitta en lösning så stoppar jag där; förhoppningsvis kan du som har tillgång till en lärobok se "vad du gjort för fel" om det här resonemanget var riktigt.

Andra frågan var att hitta maximumet. Här tänker jag att den troligtvis är längs med randen, eftersom den inte är vid någon av de stationära punkterna(jag undersökte även dessa, men jag orkar inte fylla i här).

Om man skriver om randen med cirkulära koordinater kan vi hålla tillgodo med endast en variabel.

fx,y=cosθ2+x*y2-1=cosθ2+cosθ*(sinθ2-1)=cosθ2-cosθ3=cosθ2*(1-cosθ)

Tänker man efter ett tag hittar man maximumet vid θ=180grader, vilket ger det efterfrågade värdet på 2.

Detta är antagligen inte alls så som det är tänkt att man skall lösa uppgiften, men om du nu vet vilket svar (x,y)=(-1,0) som ger maximum kanske du kan kolla av metoden du använde för att se var som det fallerade.

Jag hoppas detta inlägg var till någon som helst nytta.

dr_lund 1177 – Fd. Medlem
Postad: 16 apr 2020 11:29 Redigerad: 16 apr 2020 11:33

f(x,y)=x2+x(y2-1)f(x,y)=x^2+x(y^2-1)

Alternativt kan du använda följande:

Kartläggning av misstänkta punkter.

(1) Stationära (inre punkter): f=0\nabla f=\mathbf{0}

(2) Randpunkter: x=cosθ,y=sinθx=\cos\theta, y=\sin\theta. Undersök stationära punkter hos g(θ)=f(sinθ,cosθ)g(\theta)=f(\sin\theta,\cos\theta).

Om jag räknat rätt får jag fram 4 misstänkta punkter. Jag struntar i att bestämma dessa punkters extremkaraktär.

(3): Sätt in punkterna i funktionen, Bedöm därefter vilket funktionsvärde som är störst/minst.

Louiger 470
Postad: 16 apr 2020 16:40
dr_lund skrev:

f(x,y)=x2+x(y2-1)f(x,y)=x^2+x(y^2-1)

Alternativt kan du använda följande:

Kartläggning av misstänkta punkter.

(1) Stationära (inre punkter): f=0\nabla f=\mathbf{0}

(2) Randpunkter: x=cosθ,y=sinθx=\cos\theta, y=\sin\theta. Undersök stationära punkter hos g(θ)=f(sinθ,cosθ)g(\theta)=f(\sin\theta,\cos\theta).

Om jag räknat rätt får jag fram 4 misstänkta punkter. Jag struntar i att bestämma dessa punkters extremkaraktär.

(3): Sätt in punkterna i funktionen, Bedöm därefter vilket funktionsvärde som är störst/minst.

Är det såhär du menar?

Louiger 470
Postad: 16 apr 2020 17:23

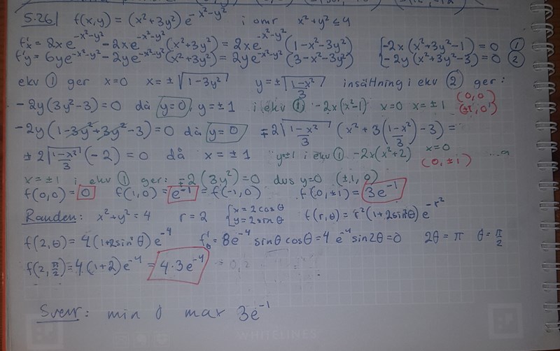
Asså jag har nog inte fattat det ändå. Gör fel på nästan identisk uppg. Svaret ska vara största 3e^-1 minsta 0 på denna. Jag är mest ute efter vad felet är eftersom det inte är ngn inlämningsuppgift, mem vilö förstå vad jag gör fel.

Moffen 1877
Postad: 16 apr 2020 18:01 Redigerad: 16 apr 2020 18:02

Hänger nog inte riktigt med i dina beräkningar. Som dr_lund sa räcker det att undersöka inre punkterna där f=0\nabla f = 0 (eller odefinierat), och randen. Du behöver alltså inte införa polära koordinater när du räknar stationära punkter (vilket jag tycker verkar se mer komplicerat ut). I ditt fall blir nu randen enkel då det är en cirkel med medelpunkt i origo och radie 2. Den parametriseras enkelt med x=2cos(θ) x = 2\cos(\theta) och y=2sin(θ)y = 2\sin(\theta)

1. Beräkna f\nabla f, vad får du då?

2. Lös ekvationen f=0\nabla f = 0

3. Du borde kunna beräkna största och minsta värde för envariabelsfunktionen g(θ)=fcos(θ),sin(θ)g(\theta) = f\left(\cos(\theta), \sin(\theta)\right).

4. Jämför alla värden.

dr_lund 1177 – Fd. Medlem
Postad: 16 apr 2020 19:06

Jag tycker att din lösning av förra problemet (med min ansats) verkar ok.

En liten hjälp på vägen på nästa problem.

Precis som Moffen skriver:

Lös f=0\nabla f=\mathbf{0}.

Randen: x=2cosθ,y=2sinθx=2\cos\theta, y=2\sin\theta. Bestäm stationära punkter hos g(θ)=f(2cosθ,2sinθ)g(\theta)=f(2\cos\theta,2\sin\theta)

Louiger 470
Postad: 17 apr 2020 06:55
Moffen skrev:

Hänger nog inte riktigt med i dina beräkningar. Som dr_lund sa räcker det att undersöka inre punkterna där f=0\nabla f = 0 (eller odefinierat), och randen. Du behöver alltså inte införa polära koordinater när du räknar stationära punkter (vilket jag tycker verkar se mer komplicerat ut). I ditt fall blir nu randen enkel då det är en cirkel med medelpunkt i origo och radie 2. Den parametriseras enkelt med x=2cos(θ) x = 2\cos(\theta) och y=2sin(θ)y = 2\sin(\theta)

1. Beräkna f\nabla f, vad får du då?

2. Lös ekvationen f=0\nabla f = 0

3. Du borde kunna beräkna största och minsta värde för envariabelsfunktionen g(θ)=fcos(θ),sin(θ)g(\theta) = f\left(\cos(\theta), \sin(\theta)\right).

4. Jämför alla värden.

Nu har jag verkligen försökt göra så som du skriver, men jag är inte säker på att jag gör rätt ändå eftersom jag inte kommer fram till rätt svar 🙈 (jag har iaf lärt mig en del på vägen 🙏)

dr_lund 1177 – Fd. Medlem
Postad: 17 apr 2020 09:38 Redigerad: 17 apr 2020 09:43

Bra kämpat!

Ekv. systemet f=0\nabla f=\mathbf{0} nästan rätt.

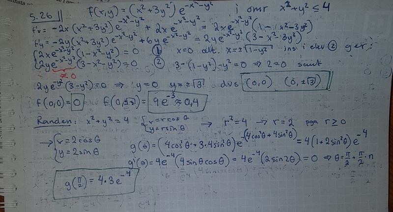
fy=0(2y)(3-3y2-x2)e-x2-y2=0.f_y=0 \Leftrightarrow (2y)(3-3y^2-x^2)e^{-x^2-y^2}=0.

Jo, origo är en lösning, men det finns fler: T ex

1-x2-y2=01-x^2-y^2=0.  Sätt y=0 vilket ger x=±1x=\pm 1. Sätt x=0 , ger y=±1y=\pm 1.

I dessa inre punkter antar f sina största/minsta värden.

Din randkalkyl är OK. Men när du undersöker randpunkterna, ger de inget bidrag till största/minsta värdet.

Bedinsis Online 3343
Postad: 18 apr 2020 08:57
Louiger skrev:

Asså jag har nog inte fattat det ändå. Gör fel på nästan identisk uppg. Svaret ska vara största 3e^-1 minsta 0 på denna. Jag är mest ute efter vad felet är eftersom det inte är ngn inlämningsuppgift, mem vilö förstå vad jag gör fel.

Du gör fel då du deriverar; framförallt finns där en etta som bör försvinna då man deriverar i θ-led.

fr,θ=r2*1+2*sinθ2*e-r2=r2*e-r2+2*sinθ2*r2*e-r2

fθ=0+2*2*sinθ*r2*e-r2*cosθ=2*sin2θ*r2*e-r2

fr=(1+2*sinθ2)*rr2*e-r2=(1+2*sinθ2)*(2*r*e-r2-2*r3*e-r2)=2*r*e-r2*(1+2*sinθ2)*(1-r2)

dr_lund 1177 – Fd. Medlem
Postad: 18 apr 2020 16:07

Jag finner ingen större anledning att byta till polära koordinater, annat än i randundersökningen. Cartesiska koordinater fungerar utmärkt, precis som du också har visat i dina senaste kalkyler.

Louiger 470
Postad: 19 apr 2020 08:44
dr_lund skrev:

Bra kämpat!

Ekv. systemet f=0\nabla f=\mathbf{0} nästan rätt.

fy=0(2y)(3-3y2-x2)e-x2-y2=0.f_y=0 \Leftrightarrow (2y)(3-3y^2-x^2)e^{-x^2-y^2}=0.

Jo, origo är en lösning, men det finns fler: T ex

1-x2-y2=01-x^2-y^2=0.  Sätt y=0 vilket ger x=±1x=\pm 1. Sätt x=0 , ger y=±1y=\pm 1.

I dessa inre punkter antar f sina största/minsta värden.

Din randkalkyl är OK. Men när du undersöker randpunkterna, ger de inget bidrag till största/minsta värdet.

Tror faktiskt jag fått ihop det nu! Tack för hjälpen.  

Svara
Close