1
svar
109
visningar
Optimering Linear programming

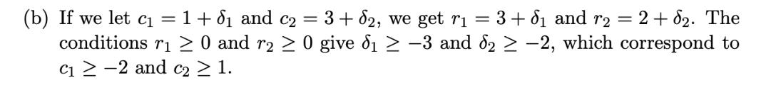
Facit till b)

Funderar på b uppgiften i denna fråga, förstår inte hur de resonerar och vart tvåan kommer från?
(Har löst a uppgiften och får x = ( 0 0 1 0 1 4 ))
Jag försökte lösa den också och hittar tvåan, men inte 3an. Vet inte om det hjälper dig något, men jag fick det här
