1
svar
110
visningar
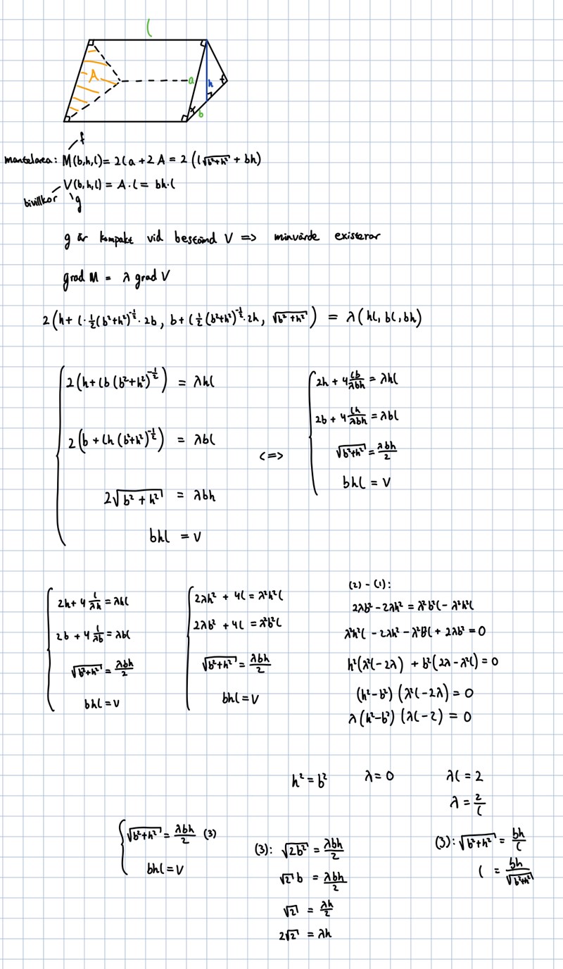
Optimering med bivillkor

Jag tänker att mantelarean är funktionen f som vi ska minimera och volymfunktionen g är bivillkoret och vi räknar då ut grad f = grad g för att få stationära punkter. Har jag gjort rätt hittills? Verkar vara en jobbig uträkning och tror kanske jag har tänkt fel.

Löste ut ekvationssystemen och det verkar bara vara ett av fallen som funkar då de andra får 0 längder, är det så man ska göra? Finns det enklare lösning?