Optimering med bivillkor
Tjena behöver hjälp med följande:

Jag har suttit: f = xyz, g = x + y + z = 1 och h = x^2 + y^2 +z^2 <= 1
Jag har hittat en punkt genom Lagranges multiplkations-nånting genom att se var f och g är parallella och denna punkt är (1/3, 1/3, 1/3) och är en kandidat som dessutom antar det största värdet för f. Men sen blir allt fel.
Jag har försökt med Lagranges grej för att hitta mellan f och h men får felaktiga punkter. Har tagit reda på determinanten för f, g och h och suttit den lika med noll:
Sedan tänker jag att jag skulle försöka lösa ut något ur detta mha de två bivillkoren som funktionerna g och h har men vet inte hur jag ska fortsätta med den krångliga determinanten som det är. Hur ska jag göra?
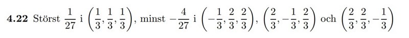
Här är facit:

Tacksam för svar