Optimering, största minsta värde, flervariabel

Se uppgiften ovan, figuren ser ut såhär:
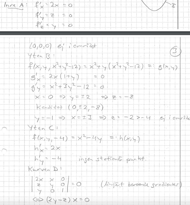
Jag förstår hur man tar fram A,b,c men inte D. Detta är enligt facit:

Jag vet att determinanten används för att hitta vilka värden som gör att determinanten är = 0, vilket ger beroende. Men, vart kommer värdena i matrisen ifrån? Jag får mina gradienter till:
Funktionen har gradienten
Men hur är det med dina bivillkor? På kurvan ska
Vad blir och ?'
Vad blir slutligen determinanten
D4NIEL skrev:Funktionen har gradienten
Men hur är det med dina bivillkor? På kurvan ska
Vad blir och ?'
Vad blir slutligen determinanten
glömde se bivillkoren som g(x,y,z) = C.
För g1,g2 gjorde du om enligt följande?
Sen är gradienterna satta som kolonner? G1 blir 2x,2y <--> 2(x,y). Sen tar bort 2:an pga att de är paralella.
Det är viktigt att du tittar på bilden, kurvan är en cirkel med radien , ser du?
Alltså ska , det ger
Cirkeln ligger på z-koordinaten . Återigen, titta på bilden! Det ger .
Gradienterna kan du antingen sätta som kolonner eller som rader, det spelar ingen roll eftersom determinanten för en matris är ekvivalent med determinanten av dess transponant.
du får lägga in gradienterna som rader eller som kolonner.
Och slutligen, ja du får förkorta vektorn (gradienten) med en faktor 2, det viktiga är ju riktningen, inte hur lång den är. Gör räkningarna så enkla som möjligt!
D4NIEL skrev:Det är viktigt att du tittar på bilden, kurvan är en cirkel med radien , ser du?
Alltså ska , det ger
Cirkeln ligger på z-koordinaten . Återigen, titta på bilden! Det ger .
Gradienterna kan du antingen sätta som kolonner eller som rader, det spelar ingen roll eftersom determinanten för en matris är ekvivalent med determinanten av dess transponant.
du får lägga in gradienterna som rader eller som kolonner.
Och slutligen, ja du får förkorta vektorn (gradienten) med en faktor 2, det viktiga är ju riktningen, inte hur lång den är. Gör räkningarna så enkla som möjligt!
Tack, hade inte tillräckligt med koll så rörde ihop det. Ska kolla igenom detta igen. Men hänger med på dina förklaringar.