Organisk kemi

facit säger 5-metyl-2-hexyn och jag förstår ej hur det blir det?
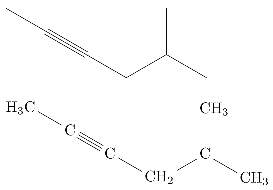
Dubbelkolla att det är rätt uppgift i facit. Längsta kolkedjan är bara 5 kol långt, dubbelbindning går emellan 2 st kol, och substituenten finns på 4:e kolet.
Svaret är...:
Visa spoiler
Skriv ditt dolda innehåll här
4-metyl-1-pentyn
För att visualisera:
röd prick = kol i huvudkedjan
blå prick = substituent
Visa spoiler
Skriv ditt dolda innehåll här
Hej!
jag har dubbelkollat facit. Det står att det blir 5-metyl-2-hexen
Kan det vara så att dem tänker --- tre streck är två kol ,
alltså att det är en metyl, sen lll två kol som har trippelbindning och sedan 3 kol till i kedjan?
CirujanaZ skrev:Kan det vara så att dem tänker --- tre streck är två kol ,
alltså att det är en metyl, sen lll två kol som har trippelbindning och sedan 3 kol till i kedjan?
Detta är fel då trippelbindningen innebär att ändelsen måste vara -yn. Dessutom är längsta kolkedjan endast 5 kol lång...
Jag är rätt säker på mitt svar. Facit har fel :)
oj sorry råka skriva fel,
"5-metyl-2-hexyn" säger facit, Och ja, jag tycker också att facit har fel gällande antal kol i längsta kolkedjan
Det du har fotat av från skrivblocket är inte samma som det utritade på bilden.
Det har du i skrivblocket:

och då är det 5-metyl-2-hexyn.