Orientering flödesintegral

Vad menas med den positiva sidan som syns från origo?
Rita ytan. Tänk dig att du befinner dig i origo. Vilken sida av figuren tittar du då på?
Innåt. Varför ser uppställningen ut som den gör nedan? Varför beskriver vi integralen över randen till K som negativ?
Divergenssatsen gäller då du har en sluten yta S som helt omsluter en volym V. Normalen förutsätts vara ut från volymen.
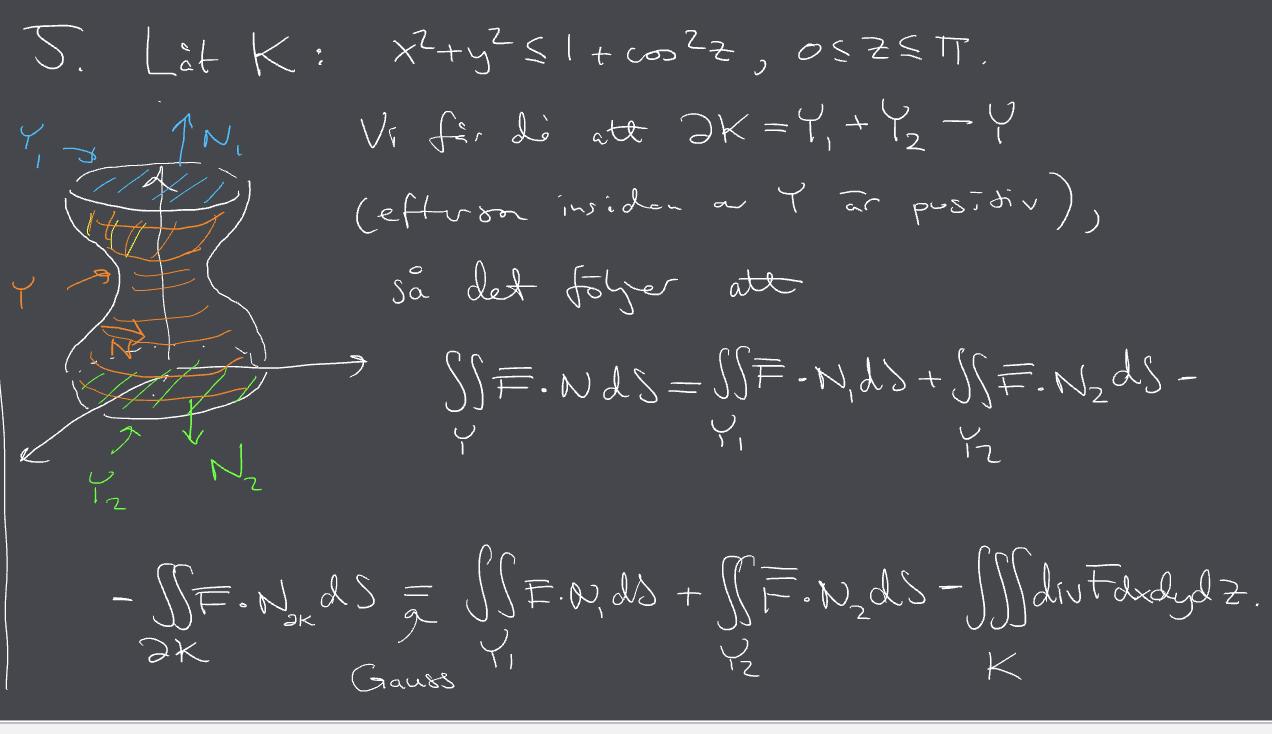
För att kunna tillämpa divergenssatsen sluter de ytan genom att lägga till lock och botten, Y1 och Y2.
Notera att vi vill räkna ut flödet genom delytan Y med innåtriktad normal, men divergenssatsen kräver utåtriktad normal. Därför kommer det in ett minustecken i beräkningarna.
PATENTERAMERA skrev:Divergenssatsen gäller då du har en sluten yta S som helt omsluter en volym V. Normalen förutsätts vara ut från volymen.
För att kunna tillämpa divergenssatsen sluter de ytan genom att lägga till lock och botten, Y1 och Y2.
Notera att vi vill räkna ut flödet genom delytan Y med innåtriktad normal, men divergenssatsen kräver utåtriktad normal. Därför kommer det in ett minustecken i beräkningarna.
Tack. Vi ger ett minustecken på ytan Y för att normalen pekar inåt. Men ytorna Y1 och Y2 är ju inte med i K som vi vill beräkna från början. Ökar vi inte flödet när vi adderar flödesintegralerna?
Divergenssatsen säger.
Flödet ut genom Y1 + flödet ut genom Y2 + flödet ut gemom Y = .
Flödet ut genom Y = -flödet in genom Y (vilket är det som vi skall beräkna).
Således:
Flödet in genom Y = flödet ut genom Y1 + flödet ut genom Y2 - .