3
svar
311
visningar
Origo Ma5 Kap 3 | inhomogena differential ekvationer
Hej, har ingen aning om hur man ska gå till väga för att lösa följande uppgift:

Relativt grundlig förklaring skulle uppskattas :)
Har du försökt något själv? Ett tips kan vara att börja med att titta på de olika variablerna som ingår i avsvalningslagen, och identifiera vilka av dem du känner till respektive vad det är du vill ta reda på.

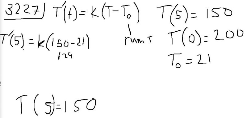
Såhär ser mitt försök ut
Om du inför en ny variabel = T - T0 så kan du skriva diff-ekvationen som
= k.
Den kan lösas med ansatsen = Cert.