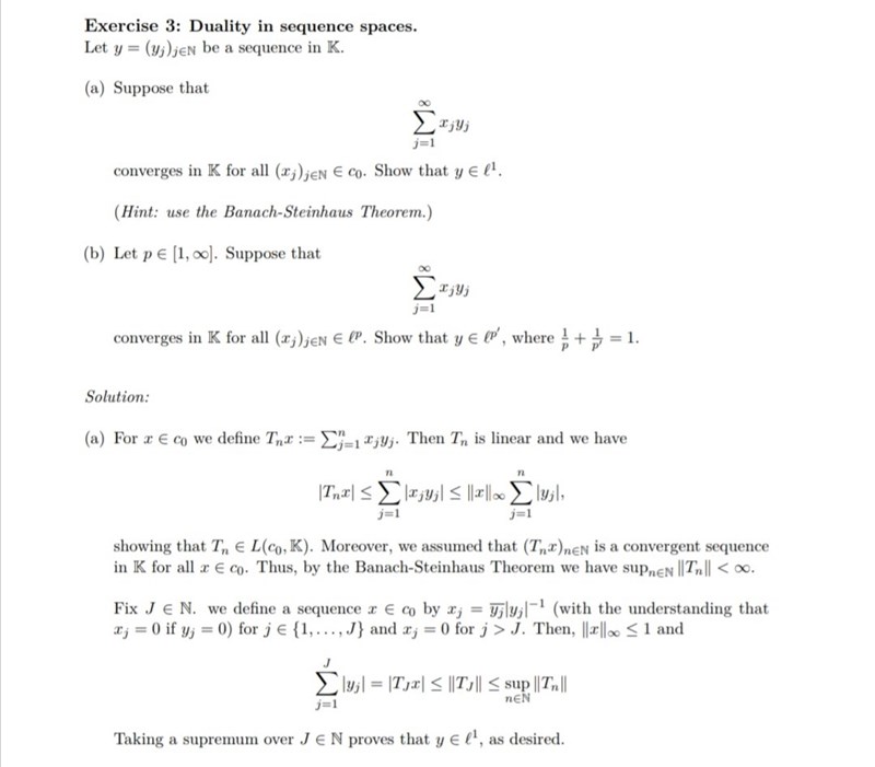
Orimlig användning av sats
Jag är helt borta på det här kapitlet. Jag förstår vad satsen säger men inte alls hur den används. Sett flera exempel som det här när man visar att något gäller för en följd och sedan bara antar att det finns ett gränsvärde som också är begränsat. Vad menas med sista raden? 
Jag förmår inte ge dig någon fullständig förklaring, men ett par saker kan vi notera:
1. Uppgiften börjar med "Suppose that...." Det innebär att konvergensen är en del av förutsättningen och får således användas utan bevis.
2. Bildrummet till transformationerna Tn är K, som här får antas vara någon kropp. Om denna kropp är fullständig, dvs Banach, framgår inte av uppgiften, men det kan framgå någon annanstans i din text. (I en del texter begränsar man bokstaven K till att betyda antingen R eller C, som ju båda är Banach). I så fall är Banach-Steinhaus tillgänglig så snart man visat olikheten i andra raden och den olikheten är ju inget annat än triangelolikheten åtföljt av uppskattningen abs(xj ) <= supnorm(x) likformigt över J.
3. Sista raden, där man tar supremum över J, placerar följden y defintionsmässigt i l1 (= mängden av absolutkonvergenta följder)