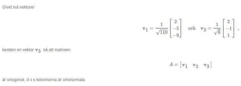
Ortogonal matris
Har lite svårigheter med att veta hur jag skall gå tillväga.. vet att om matrisen ska vara ortogonal så skall v1*v2= 0 v1*v3=0 v2*v3=0 och om den ska vara ortonormal så ska det vara v1*v1=1 osv... Är det meningen att jag skall använda detta på något sätt?
Ja, det finns lite olika sätt att skapa en ortogonal vektor.
I det här fallet är det enklast (tycker jag) att beräkna kryssprodukten mellan , och och sedan normera den resulterande vektorn.
Det blev rätt :) Kan du förklara lite hur du tänkte och lite tips på hur man kan göra på andra sätt?
När man beräknar kryssprodukten mellan två vektorer och , så får man alltid en vektor som är ortogonal mot både och .
Men, kryssprodukten är bara definierad i .
Ett annat sätt:
(1)
(2)
(1) - (2):
(1) + (2):
Sätt , , och normera:
Om jag skall bestämma en matris för ortogonal projektion på ett plan, hur skulle jag göra då? Har fastnat på en sådan uppgift. Får ett plan, 2x-5y+2z=0, givet.
Har löst uppgifter i min kurslitteratur där jag skall bestämma ortogonala projektioner på ett plan, dock får man givet tre vektorer då vanligtvis, u1, u2 och y.
Du har att en normal till planet ges av i basen .
Projektionen av en godtycklig vektor kan beskrivas av
Givet dina tre basvektorer , , , så kan du bestämma avbildningsmatrisen , enligt
Hmm.... vet att det finns en sats i min bok som säger att:
y0 = (y*u1/(u1*u1))+.......+(y*up)/(up*up)up
där y0 är ortogonala projektionen av y på underrummet W
Är n i din formel normalvektorn? Isåfall varför och hur vet man detta?
Säg att normalvektorn , och vi har en fix punkt som ligger i planet . För en annan punkt som också ligger i planet, har vi att är parallell med planet.
så
Så kan vi få normalvektorn.
Istället för att projicera ner på planet direkt, kan man ju projicera på normalvektorn, och dra bort det från den ursprungliga vektorn.
Stort tack för hjälpen!!