Osmolarity
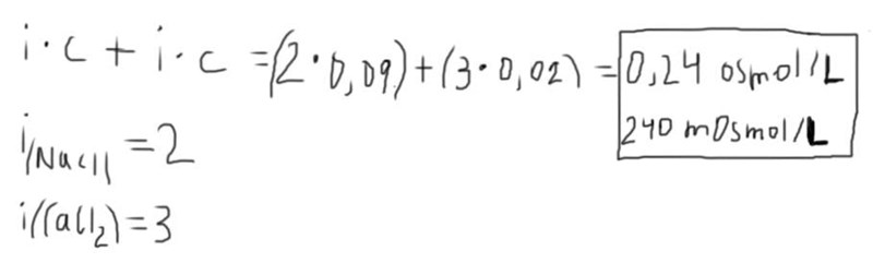
Blod sample lämnades in i solution som innehåller 0,09 M av NaCl och 0,02 M av CaCl2.
Om osmolaritet av solution inom erythrocytes är 300 mOsmol/L och antar complete dissociation av elektrolyter när det är 25 grader Celsius, räkna ut osmolarity av gjord solution.
Är det rätt svar 240 mOsmol/L, och isåfall är detta isotoniskt, hypotonic eller hypertonic man talar om, och hur vet man det, hypotonic är iallafall att cellen tar upp och sväller, medan hypertonic är motsatsen och isotonic innebär att det blir oförändrad.

Dina beräkningar ser vettiga ut. Det är alltså lägre koncentration av lösta partiklar i saltlösningen än i den röda blodkroppen, så blodkroppen kommer att ta upp mer vatten och svälla. Saltlösningen är alltså hypotonisk, hypo är det grekiska ordet för under eller mindre, hyper motsvarande för över eller mer - lite opraktiskt att orden är så lika varandra när de betyder motsatsen!