0
svar
192
visningar
Out-of-Sample Predicted Risk: Bias-Variance Decomposition
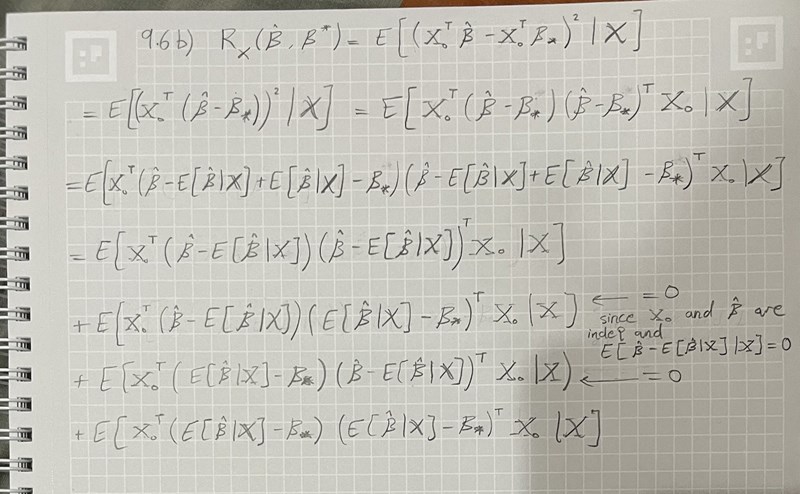
Jag har följande uppgift och jag har fastnat på b) delen. Jag har försökt skriva de första stegen, men jag vet inte om de är rätt och har ingen ide om hur jag ska fortsätta.

