Ovanlig trigonometrisk identitet
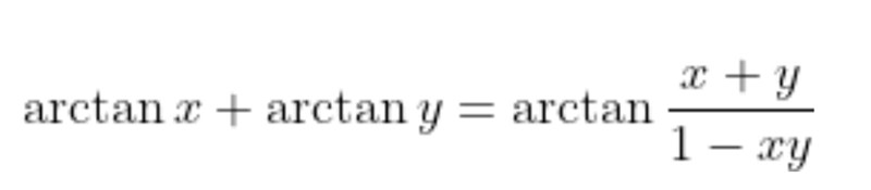
Jag har stött på denna ovanliga identitet nedan.

Identiten verkar stämma för xy<1 men annars inte. Hur kommer det sig?
Det första jag ser när jag tittar på den är att värdemängden för vänstersidan är (-pi, pi), medan högersidan bara går till/från pi/2, så det verkar omöjligt att det ska gälla alla x och y.
Sen är det lite likt additionsformeln för tan tycker jag. Vad händer om du sätter vänstersidan lika med v som i vinkel, och tar tan på båda sidor? Kommer du till högersidan då? Vet inte om det leder någonstans men jag hade börjat testa där.
Problemet kan angripas geometriskt också. kan vi tolka som en vinkel med tangensvärdet x i en rätvinklig triangel. T.ex. genom att sätta motstående katet till x, närliggande till 1. Vinkeln adderas till en annan vinkel v, med tangensvärdet y. Så vi gör en ny triangel, och lägger dem intill varandra så att vinklarna kan summeras:

VL i identiteten är alltså vinkeln , och HL påstår att vinkeln har tangensvärdet . Detta kan visas om man förlänger hypotenusan i v-triangeln tills den möter den förlängda x-sidan, dvs. vi bildar en ny rätvinklig triangel som använder vinkeln u+v och har basen 1. Tangensvärdet är då lika med triangelns höjd, och den kan man få till just (x+y)/(1-xy).
Men, om u+v är större än 90 blir figuren helt annorlunda. Hypotenusan kan inte längre förlängas uppåt för att möta sidan x. Den kan visserligen förlängas neråt, men figuren blir annorlunda och därför krävs ett nytt resonemang för att undersöka tan(u+v).