Överföringsfunktion
Tjena! Uppgiften vill att jag tar fram K, w1 och w2. Jag får rätt på w1 och w2 men ser att det blir fel i nämnaren på något sätt. Konstanten K kan inte bli -R2... Saknar R1 i täljaren om det ska följa formeln för överföringsfunktionen men har gjort omräkningar för att se så allt är rätt och jag kan inte hitta felet. 
Vad försöker du med din "nodanalys"?
Hitta ett samband mellan Uut och Uin eftersom överföringsfunktionen
Men vad ska nodanalysen göra?
Du kan betrakta det som en spänningsdelare mellan och där punkten måste ligga på noll.
Förstår inte frågan riktigt, syns det inte i bilden vad nodanalysen har för syfte? Den ger mig ett samban mellan Uut och Uin. Använder nodanalys för att de gör det i exempeluppgifterna i boken för liknande frågor. Jag kommer inte på något annat sätt.
Nej, det syns inte i bilden. Det enda ordet som står där är "nodanalys". Ingen annan text...
Du kan först göra en OP-krets (inverterande förstärkare) med rena motstånd.
Laddade upp bilden här
Men oavsett om man kallar det nodanalys eller något annat, så stämmer väl beräkningarna?
Strömmen på ingångssidan möter en oändlig ingångsimpedans och måste fortsätta genom R2 och C2.
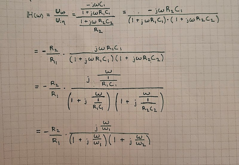
Ja jag ser det som att beräkningarna stämmer, men täljaren som den står skriven för mig nu (om man ignorerar sista steget) är -jwR2C1 vilket inte ger mig enligt formeln . Och bryter jag ut något för att få ett k-värde så blir det inte bättre för det.
Du har helt enkelt missat vad omega1 och omega2 är.
Får att och vilket är rätt svar. Vad har jag missat menar du? Om jag enligt formeln ska ha i täljaren blir det inte rätt med , eller? i nämnaren är liksom (dvs ). Och hur får jag mitt k-värde? Svaret blir inte -1
Borde skrivit ω3 istället för omega 2 i tillägget.
Hänger inte riktigt med hur bryts ut därifrån. Men använder jag får jag inte rätt svar på K-värdet.
Är tacksam för all hjälp jag får
Vad skall k-värdet bli?
Tyvärr vet jag inte det på förhand, får bara veta om svaret jag pluggar in är rätt eller fel
Varför vill du inte att k ska bli negativ? Kopplingen är en inverterande förstärkare där k borde bli negativ
Jo det får vara negativt, det är inte rätt svar bara.
Ragnar, det blev rätt med . Hur kom du fram till att bryta ut som du gjorde?
Ja och då blir k = -R2/R1.
Om man vill ha jω/ω1 i täljaren för H(ω) så måste man ju multiplicera och dividera så att det stämmer.
Tack, det blev jättetydligt. Tack för hjälpen!!



