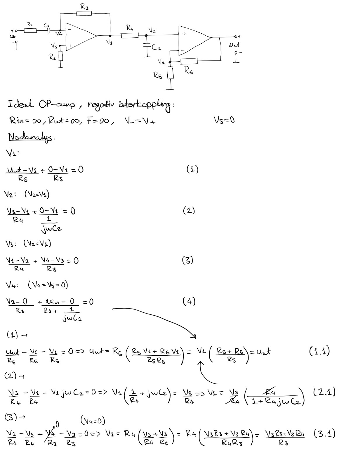
Överföringsfunktionen för Bodediagram
Får ett konstigt uttryck till överföringsfunktionen , något uttryck med ?
Försöker få det på någon enkel form så jag kan skissa Bodediagrammet.



Jag har gjort om beräkningarna och får följande uttryck:
Sen har vi att R1=4.7k, R2=5.6k, R3=33k, R4=10k, R5=10k, R6=1M, C1=22u, C2=2.2n
Det känns som jag är på rätt väg.
Har du facit till överföringsfunktionen?
Jag tycker ditt uttryck för uut i inlägg #1 verkar bättre än det du har i inlägg #2.
Jan Ragnar skrev:Har du facit till överföringsfunktionen?
Jag tycker ditt uttryck för uut i inlägg #1 verkar bättre än det du har i inlägg #2.
Nej har tyvärr inget facit eller lösningsförslag
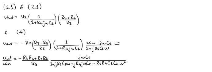
Jag tror du fått fel tecken på R3R5 i inlägg #2. Jämför med näst sista raden i inlägg #1
Om du flyttar R3 från första termen till den sista så får du uttrycket:
Nu kanske det blir enklare att skissa ett Bodediagram?
En nyfiken fråga:
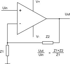
Är det "tillåtet" att ställa upp uttryck för förstärkningar i OP-amp kopplingar direkt så här:


Eller måste ni göra det via nodanalys?
ThomasN skrev:En nyfiken fråga:
Är det "tillåtet" att ställa upp uttryck för förstärkningar i OP-amp kopplingar direkt så här:
Eller måste ni göra det via nodanalys?
Man får nog göra hur man vill. Jag personligen är bara van med nodanalys. I bland används det spänningsdelning, som jag inte förstår hur man kan göra på dessa kretsar (känns som det måste vara slutet för att gå)
Jag tänkte bara att det blir mycket räknande med nodanalys. Om man använder formlerna i figuren för OP-stegen och spänningsdelning för den passiva RC-länken i mitten så kommer man nästan direkt till ett uttryck för Uut/Uin
ThomasN skrev:Jag tänkte bara att det blir mycket räknande med nodanalys. Om man använder formlerna i figuren för OP-stegen och spänningsdelning för den passiva RC-länken i mitten så kommer man nästan direkt till ett uttryck för Uut/Uin
Lättast är en grafisk lösning: skissa Bodediagram för de båda stegen separat och addera dem.