Översättning från database schema till ER-diagram
Uppgift:

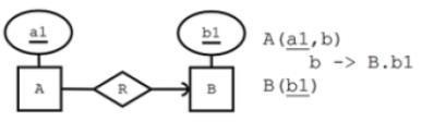
Efter att jag löst uppgiften så jämförde jag den med examinatorn lösning (se ER-diagram nedan), och det uppstod lite funderingar kring varför referenser inte skrivs med i den givna database schema.
Fråga:
Varför finns det inte med någon referens mellan 'Author' och 'Book' och 'Book' och 'Topic' i databas schema:t? Enligt ett formelblad som jag hittat (se och nedan) så tolkar jag det som att både ett många-till-många-samband och många-till-1-samband skall ha en referens i databas schema.
Dvs:
Writes(a_code, b_code, date, book)
a_code -> Author(a_code)
book -> Book(b_code) //referens 1
...t_code -> Topic(t_code) //referens 2
Är det något som gör att man inte behöver skriva med en referens i just detta sammanhand?
:

:
Examinatorns lösning: