1
svar
174
visningar
Övnings tentamen i hållfasthetslära

Behöver hjälp hur jag ska gå vidare efter detta.
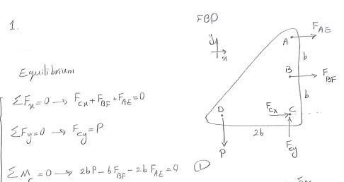
Du ska ta fram ett deformationsvillkor för strukturen. Du har nämligen nu tagit fram en användbar relation (momentrelationen) och behöver en till.
Hur förhåller sig deformationen i stång AE till stång BF?