Övningsdugga (första ordnings D.E.)_2


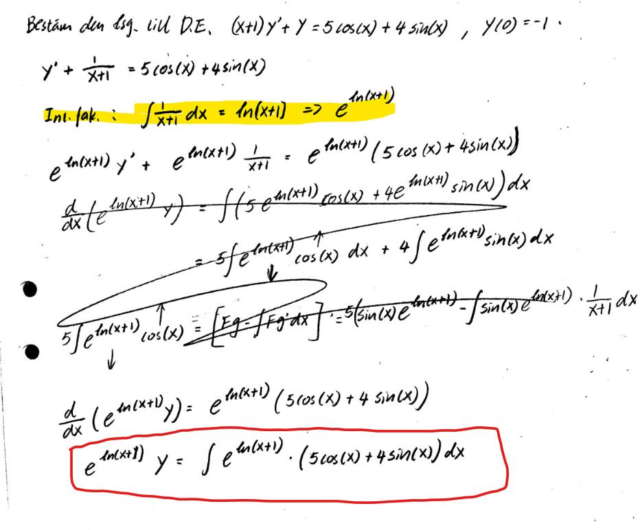
Jag kom fram till den ekvation i röda ringar. Men vet inte hur man integrerar denna komplexa uttrycket.
Vi har läst om partiell integration:

Men vilken ska bli F(x) och vilken ska bli g(x) i det fallet?
Låt g vara den funktion som blir enklare när du deriverar den. Tex 2x deriveras till 2.
Jag har beräknat alla integral och derivatan som jag kan:

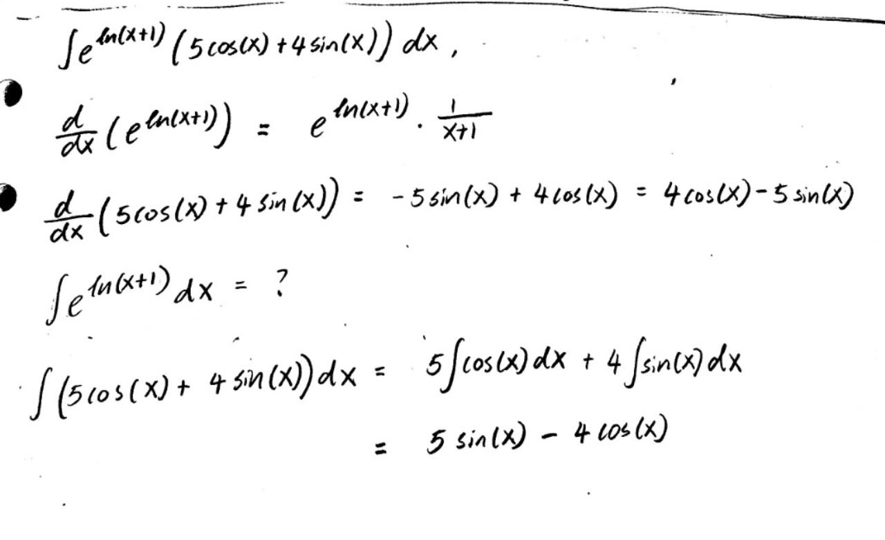
uttrycket 5cos(x)+4sin(x) känns om den enklare att deriverar. Men jag kan inte räknar ut integral av e^ln(x+1). Vad ska ja göra nu?
Har inte kollatvalka led men e^ln a är ju a …..
Analys skrev:Har inte kollatvalka led men e^ln a är ju a …..
Jag kan inte förstår dig. Men det verkar som du menar jag borde deriverar e^ln(x+1)?
Du behöver förenkla e^ln
Ditt frågetecken = Integralen e^ln x+1 dx = integralen x+1 dx