4 svar
120 visningar
Tayzo569 424 – Fd. Medlem
Postad: 17 mar 2021 14:50 Redigerad: 17 mar 2021 15:02

Övre- och undre funktion

Hej.

Jag separerade 12 från x2, det vill säga,  x2=x×12 och började sedan göra en primitiv funktion av det ,samt göra en integration. Detta är enligt förklaringen inkorrekt. Vad jag gjort och märkt är att faktorn ×12inte finns med.

Kan någon klargöra detta för mig?

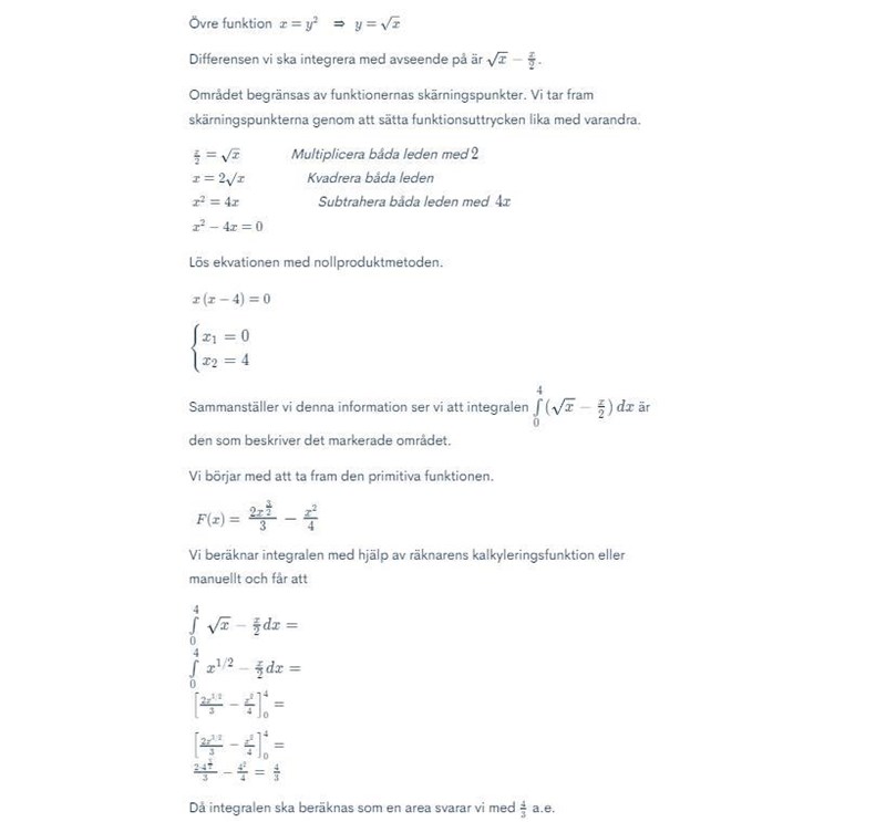
Visa spoiler

 

Smaragdalena 78892 – Avstängd
Postad: 17 mar 2021 15:01

Du har inte räknat färdigt och kommit fram till något svar.

Enligt ditt facit i spoilern skall den andra termen ha nämnaren 4, d v s "½" skall vara med. Min gissning är att du har gjort fel när du har stoppat in x = 4 i den primitiva funktionen.

Tayzo569 424 – Fd. Medlem
Postad: 17 mar 2021 15:11 Redigerad: 17 mar 2021 15:18
Smaragdalena skrev:

Du har inte räknat färdigt och kommit fram till något svar.

Enligt ditt facit i spoilern skall den andra termen ha nämnaren 4, d v s "½" skall vara med. Min gissning är att du har gjort fel när du har stoppat in x = 4 i den primitiva funktionen.

Hade jag multiplicerat ihop dessa, x2*12, hade jag ju fått till korrekt svar. Jag skulle också fått till rätt svar ifall jag struntade i att separera redan i början.

Minns du någon tillfälle där man behöver dra isär två faktorer från en term?

Ett tillfälle på detta är följande:

(Beräkning från en annan uppgift).

Smaragdalena 78892 – Avstängd
Postad: 17 mar 2021 15:25

Du har fortfarande inte visat hur du räknade när du satte in x = 4 i den primitiva funktionen. Jag kan inte hjälpa dig om jag inte får den fakta jag ber om.

Tayzo569 424 – Fd. Medlem
Postad: 17 mar 2021 18:52 Redigerad: 17 mar 2021 18:53
Smaragdalena skrev:

Du har fortfarande inte visat hur du räknade när du satte in x = 4 i den primitiva funktionen. Jag kan inte hjälpa dig om jag inte får den fakta jag ber om.

När jag löste för hand, fick jag det korrekta svaret till 4/3. Tydligen behöver man starta om geogebra för att få korrekt svar, då den funkar som vanligt igen 😅. 

Tack för hjälpen! 

Svara
Close