3
svar
351
visningar
Bazinga behöver inte mer hjälp
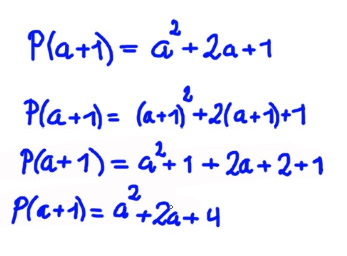
p(a+1)=a^2+2a+1. Bestäm p(x).........
P(a+1)=a^2 + 2a + 1. Bestäm p(x) för alla reella a.
Detta är vad jag har tänkt men problemet är att jag förstår inte riktigt frågan speciellt när författaren skriver "Bestäm p(x) för alla reella a."

Nja, frågan var konstigt ställd. Dock är det du skrivit inte korrekt. P(a+1) kan du inte utveckla och få svaret som P(a+1)+3
Skulle anta att du ska sätta x=a+1 och finna en funktion beroende av x.
Kanske:
Visa spoiler
Tack för hjälpen, jag fattade uppgiften men, jag håller med om att frågan var väldigt konstigt ställd.