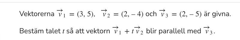
Parallella vektorer bestämma ett T-värde
Nedanstående fråga.
Jag förstår inte allas hur man ska räkna ut den.
Jag vet att för att linjer ska vara parallella ska det vara vektor u=k*vektor v(exempel).
Jag satte upp sambandet: v1+v2= (3,5)+(2t,-4t) men fattar inte hur jag ska gå vidare.
(Vet inte hur man använder tecknet landa).

v1 + t*v2= (3,5) + (2t,-4t)
Den vektorn ska vara parallell med v3, d.v.s = k*v3, där k är någon konstant.
Menar du den grekiska bokstaven lambda? Den används ibland, men varför vill du ha med den här?
Laguna skrev:Menar du den grekiska bokstaven lambda? Den används ibland, men varför vill du ha med den här?
Jag tror TS bok betecknar skalären med lambda, det gjorde vi iaf när jag läste linjär algebra.
Man kan skriva lambda här genom att skriva \lambda mellan dubbla dollartecken.
Jag förstår fortfarande inte hur jag kommer fram till några värden efter ekvationen. Nej vi har inte gått igonom lamba alls men såg det i en annan tråd.
Tillägg: 27 nov 2021 09:40
När Dracaena gick i plugget så räknade dom så här:
Vilket ger samma svar ...