4 svar
122 visningar
Taru behöver inte mer hjälp
Taru 312 – Fd. Medlem
Postad: 15 sep 2022 18:06

Parallkoppling

Hej, vad heter formeln jag ska använda för att lösa följande uppgift?

Tacksam för svar

Yngve 42666
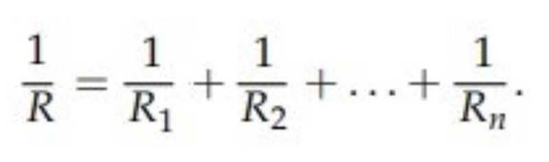
Postad: 15 sep 2022 18:13 Redigerad: 15 sep 2022 18:17

Det är den här formeln du ska använda:

Jag tror inte att den har något eget namn. Kanske "Formel för parallellkoppplade resistorer".

Smaragdalena 78892 – Avstängd
Postad: 15 sep 2022 18:15

Om du skulle ha en formel för varje situation skulle du behöva ha tusentals olika formler, kanske miljontals. Det har åtminstone jag inte lust att lära mig utantill! Det är betydligt bättre att lära sig anpassa några få formler till många olika situationer.

Taru 312 – Fd. Medlem
Postad: 15 sep 2022 19:17
Yngve skrev:

Det är den här formeln du ska använda:

Jag tror inte att den har något eget namn. Kanske "Formel för parallellkoppplade resistorer".

Ok, så det ska vara 2/r1 + 3/r2 + 4/r3 eller?

Yngve 42666
Postad: 15 sep 2022 20:00 Redigerad: 15 sep 2022 20:12
Taru skrev:

Ok, så det ska vara 2/r1 + 3/r2 + 4/r3 eller?

Nej.

R1 = 2

R2 = 3

R3 = 4

Och du ska beräkna R.

Använd formeln.

Svara
Close