Parameterform
Hej!
Behöver hjälp med följande uppgift:

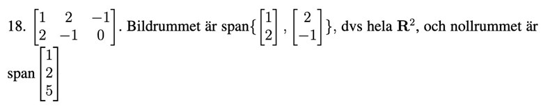
Jag får fram matrisen och Gaussar, men får detta:

Men det stämmer ej med facits lösning som är:

Så hur gör jag en parameterlösning av det jag får fram i mina beräkningar?? Var blir det fel?
Bildrummet spänns upp av pivotkolonnerna till T.
Du har lite märklig notation i ekvationssystemet. x2=y. Sätt in uttrycket för y i x1 och skriv upp ekvationssystemet på formen v*t där v är en vektor.
Calle_K skrev:Bildrummet spänns upp av pivotkolonnerna till T.
Du har lite märklig notation i ekvationssystemet. x2=y. Sätt in uttrycket för y i x1 och skriv upp ekvationssystemet på formen v*t där v är en vektor.
Nu förstår jag inte riktigt vad du menar. Det jag undrar är varför jag inte får som facit?
Du får som facit.
I ditt ekvationssystem måste du sätta in andra ekvationen för y i den första. Notera att du har benämnt samma variabel med 2 namn; y och x2.
När du gjort det så låter du t=5 för att få som facit.