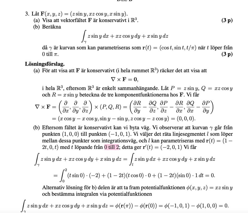
Parametrisering av kurvintegral
När man parametriserar kurvan, hur förstår man att gränserna går från 0 till 2? Trodde de alltid gick från 0 till 1, men förstod inte riktigt varför(enl infogad bild nedan), och förstår nu att det inte stämmer. Vill någon förklara detta dilemmat om gränserna?
(http://ingforum.haninge.kth.se/armin/ALLA_KURSER/SF1626/KURVINTEGRALER.pdf)
Det måste inte alls vara [0,1], däremot är det ett nice intervall man föredrar. När man parametriserar ellipser och cirklar använder man ju såklart [0,2pi] vilket du säkert sett, så varför är du överraskad?
Man kan dock alltid modifiera sin parametrisering för att ha vilka gränser som helst, men som sagt är det en fråga om snygghet
I detta fall är det en rät linje vilket är enkelt att jobba med, om vi vill ha intervallet [0,1] så blir parametriseringen såhär istället:
Ja alltså förstår inte hur man får 0 till 2 i uppgiften...
Vilka gränser du har beror helt på var du ska gå och hur du går. I detta fall är ska r(t) i x-led löpa mellan 1 och -1, där varje ökning med ett hos t, innebär en minskning med ett i x-led. Om vi vill gå åt andra hållet kan vi börja där x = -1 och gå till x = 1. Då får vi gränserna två (undre) och noll (övre). Om vi skulle gå någon annan väg mellan punkterna (säg längs en kurva som skär i origo) skulle våra gränser se annorlunda ut. :)
Hmmm, ja det ser faktiskt ganska mysko ut. Om t = 0 stämmer det, men om t = 2 hamnar vi i punkten (-3, 0, 2). Hmmm... missar jag något?
Om vi inte modifierar själva paramteriseringen måste vi ha gränserna 0 och 2 för att få rätt ändpunkter.
Edit: huh, jag bara antog att facit hade rätt, kollade inte ens. Den parametriseringen ger fel höger ändpunkt. Intervallet måste vara [0,1]
Smutstvätt skrev:Hmmm, ja det ser faktiskt ganska mysko ut. Om t = 0 stämmer det, men om t = 2 hamnar vi i punkten (-3, 0, 2). Hmmm... missar jag något?
Jaa jag tänker typ så med, det var också därför jag blev lite förvirrad när jag försökte härleda själv...
Men om man bara tänker allmänt, hur tar man reda på intervallet av t? Ska man sätta parameteriseringen r(t) = f(x,y,z) i både start och ändpunkt och få vilka t det gäller? (Edit: alltså exempelvis. Vet inte om man skriver så men du kanske förstår?)
Du menar intervallet av t, inte r(t), var försiktig! Men jag förstår inte din fråga?
Om din parametrisering är sådan att den går igenom önskade ändpunkter så får du se vilka t som ger de rätta ändpunkterna. Dessa t blir intervallets gränser. Sen beror det på vilken orientering du vill att kurvan ska ha också, då kan du kasta om gränserna för t.
MoaA skrev:Men om man bara tänker allmänt, hur tar man reda på intervallet av t? Ska man sätta parameteriseringen r(t) = f(x,y,z) i både start och ändpunkt och få vilka t det gäller? (Edit: alltså exempelvis. Vet inte om man skriver så men du kanske förstår?)
Om du har en rak linje mellan två punkter, P och Q, kan du skriva linjesegmentet på formen , där v är vektorn som går från punkten P till Q, och t är en variabel. Gör du detta kommer t alltid att gå från noll till ett. Detta eftersom du definierat din vektor så att den går från P till Q. Då behöver du endast ta ett steg i vektorns riktning för att komma till Q.
I andra fall kan det vara mer effektivt att använda andra intervall. Om du ska parametrisera enhetscirkeln är en lämplig parametrisering , och då går intervallet från noll till (om du vill gå hela enhetscirkeln). I allmänhet är det bra att skissa upp situationen, och prova att gå sträckan med hjälp av din parametrisering. Exempel: Om du ska parametrisera en sträcka från punkten (-2, 4) till (1, 1), och du vet att parametriseringen är (motsvarar funktionen ), rita upp funktionen! Du vill hitta det t som gör att du hamnar på rätt punkter. I detta fall att du hittar det t som ger dig att samt det t som ger dig att .
Smutstvätt skrev:Om du har en rak linje mellan två punkter, P och Q, kan du skriva linjesegmentet på formen , där v är vektorn som går från punkten P till Q, och t är en variabel. Gör du detta kommer t alltid att gå från noll till ett. Detta eftersom du definierat din vektor så att den går från P till Q. Då behöver du endast ta ett steg i vektorns riktning för att komma till Q.
Vi kan enkelt se det om vi istället skriver P+t(Q-P) (det är inte en skalärprodukt, och t kan även kallas en parameter), vilket de även skriver i andra bilden du skickade, bara lite klumpigare.