3
svar
120
visningar
nyfiken888 behöver inte mer hjälp
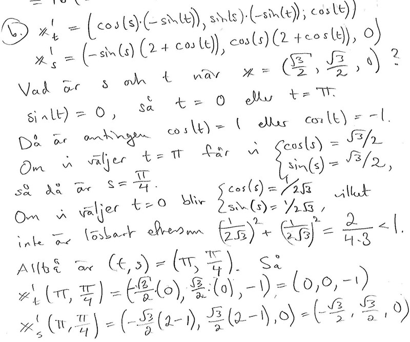
Parametrisering av ytan
Hänger inte riktigt med varför cos(s) och sin (s) måste vara lika med rot(3)/2 om t=pi


nyfiken888 skrev:Hänger inte riktigt med varför cos(s) och sin (s) måste vara lika med rot(3)/2 om t=pi
jaha det beror på punkten!
tror jag har kommit på det. tack iaf
det känns ändå det har blivit fel här
är inte sin(pi/4)= 1/rot(2) ?
Jo, det stämmer.
Jag tror överallt där man skriver menar man (eller , samma sak) eftersom punkten inte ligger på ytan medan gör det.