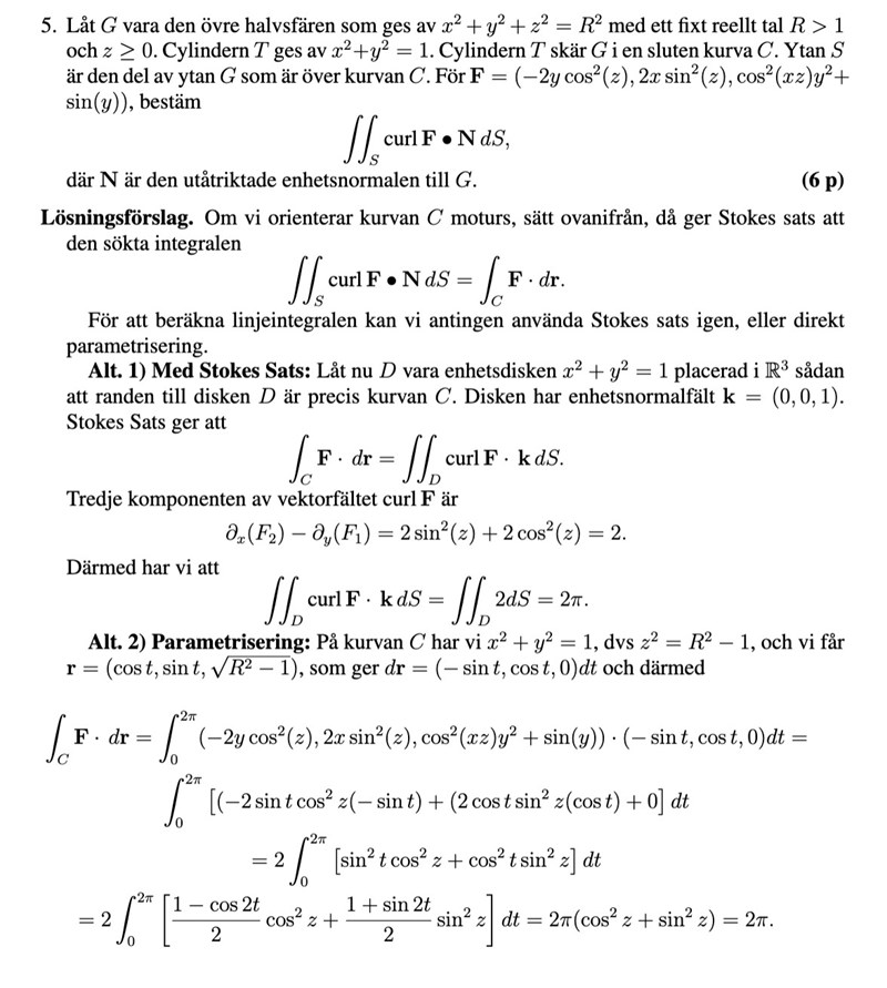
Parametrisering - flervariabel

På alt 2 Parametrisering: ska inte z= ? Varför skriver de då z=z i integralen? Dessutom, hur vet man hur man ska öndra
Det finns ju flera omskrivningar men hur vet man vilken man ska använda på dessa typer av problem?
Parametriseringen till z används enbart för att beräkna dr, därefter är det inte nödvändigt att uttrycka z i form av R eftersom att termen ändå försvinner i slutändan.
Vi vill gärna skriva om till termer av sin(kx) eller cos(kx) då vi integrerar över hela varv eftersom att dessa integraler blir 0. Detta är inte fallet för sin2 eller cos2.
När man gångrar F med r(t) så får man ju tex x= varför skriver de z då?
Och jag fattar inte riktigt vad du menar med cos(kx) är det bara att cos(2t) är på den formen istället för cos^2t?
flippainte skrev:När man gångrar F med r(t) så får man ju tex x= varför skriver de z då?
Uttrycket inom parentesen, dvs z, används inte. Tänk dig en vanlig varabelsubstitution för att förenkla skrivandet. Det går dock att skriva ut hela rottecknet om du föredrar det.
Och jag fattar inte riktigt vad du menar med cos(kx) är det bara att cos(2t) är på den formen istället för cos^2t?
Ja.

Hur gör man när man kommer såhär långt?
Du har fått samma som i nästsista raden till lösningsförslaget. Så i nästa steg vill du skriva om sin2(z) och cos2(z) faktorerna så att du får samma som i lösningsförslagets sista rad.
i detta fall skulle jag gjort u-substitution eller liknande för R^2-1 men är det fel tankesätt? För man kommer väl inte vidare då
Obs R är en konstant här. Det är t som är integrationsvariabeln.
De använder tex känd formel sin2t = (1-cos(2t))/2. Kolla triggformler.
Är inte cos^2t = (1 + cos(2t))/2 ? Varför står det sin istället på deras sista rad?
Ja, där har de nog gjort ett fel.