2
svar
99
visningar
Avokado12345 behöver inte mer hjälp
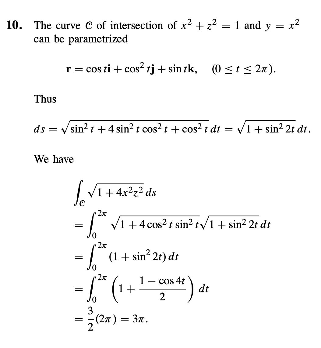
Parametrisering kurvintegraler


Jag har svårt att förstå parametrisering. Varför går t mellan 0 och 2?
är en cylinder med radie 1. Både x och z antar då alla värden mellan -1 och 1. t behöver gå ett helt varv runt, därav från t.ex 0 till 2pi.
Okej, jag förstår. Tack!