4 svar
99 visningar
Cien behöver inte mer hjälp
Cien 1322
Postad: 29 jan 2023 23:41

Parametrisering och kurvlängd

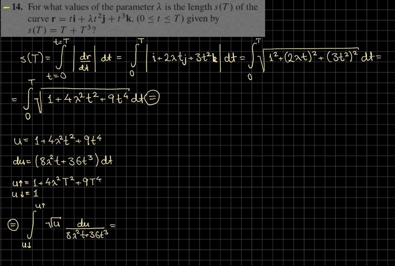
Hej, får en mycket jobbig integral som jag inte kan lösa. Kanske finns en annan väg?

Tomten 2026
Postad: 30 jan 2023 08:52

Du har ju bestämt du uttryckt i dt ovanför den sista int.. Sätt in det i integranden.

Cien 1322
Postad: 30 jan 2023 11:04
Tomten skrev:

Du har ju bestämt du uttryckt i dt ovanför den sista int.. Sätt in det i integranden.

Ja har gjort det men får ändå uttryck med t när jag ska integrera med avseende på u

PATENTERAMERA Online 7561
Postad: 30 jan 2023 11:54

Ett förslag är att du utnyttjar integralkalkylens fundamentalsats.

Om s(T) = 0Tgtdt så gäller det att s’(T) = g(T).

Cien 1322
Postad: 30 jan 2023 13:38
PATENTERAMERA skrev:

Ett förslag är att du utnyttjar integralkalkylens fundamentalsats.

Om s(T) = 0Tgtdt så gäller det att s’(T) = g(T).

Riktigt snyggt, slog inte ens mina tankar. Nu gick det att lösa :) tack!!

Svara
Close