Parametrisering, vektorfält

i a) frågan har jag tagit fram en parametrisering av ellipskurvan som:
Vilket bör ge , t bör även rimligen variera mellan
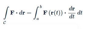
Men här börjar det bli snurrigt, vad ska jag göra nu? Jag vet att via parametriseringen kan man skriva om kurvintegralen som:
Skulle man kunna parametrisera vår vektorfunktion (x+y,x) --> (2t,t)
Därmed vilket bör tillslut ge integralen
Eller är parametriseringen helt felaktig?
Jag förstår inte vad du gör i ditt sista steg. Dessutom verkar du inte förstå integrationsvägen / gränserna.
Börja med att rita en tydlig bild över ellipsen, märk ut start- och slutpunkt för din linjeintegral. Mellan vilka vinklar ska din parameter t löpa? Kontrollera att kurvan genomlöps i rätt riktning med stigande t.
Du har kommit fram till att
Med parameterframställningen
Vad är alltså ? Det är tänkt att du ska substituera i
Vad är ?
Vad blir därmed skalärprodukten
D4NIEL skrev:Jag förstår inte vad du gör i ditt sista steg. Dessutom verkar du inte förstå integrationsvägen / gränserna.
Börja med att rita en tydlig bild över ellipsen, märk ut start- och slutpunkt för din linjeintegral. Mellan vilka vinklar ska din parameter t löpa? Kontrollera att kurvan genomlöps i rätt riktning med stigande t.
Du har kommit fram till att
Med parameterframställningen
Vad är alltså ? Det är tänkt att du ska substituera i
Vad är ?
Vad blir därmed skalärprodukten
Eller tänker jag helt fel med F((r(t))?
Det ser bra ut, förutom att den sista tvåan ska vara
Om du vill kan du förenkla det ytterligare till
Nu kan du sätta in gränserna och beräkna din integral.
D4NIEL skrev:Det ser bra ut, förutom att den sista tvåan ska vara
Om du vill kan du förenkla det ytterligare till
Nu kan du sätta in gränserna och beräkna din integral.
Yes, tackar!