parametrisk ekvation av planet
hänger ej med på hur jag ska lösa denna
jag ska hitta parameterekvation av följande plan: 3x + 4y - 2z = 4
Tänkte att jag löser ut x ensamt i VL och får
låter sen samt skriver om så som nu är väl i vektorform?
sen för parameterform:
men hittar inge facit förutom ett handskrivet lösningsförslag där inget av ovan framgår så vet ej om det är rätt eller icke?
Någon som kan hjälpa mig?
tusen tack på förhand
Parameterformen verkar korrekt: Du måste ha 2 parametrar för att beskriva ett plan. Däremot blev det lite fel med vektorformen:
Vektorformen för ett plan skrivs
, där
är en vektor i planet och
är en normalvektor till planet.
Anm är en fix punkt i planet, resp. är en godtycklig punkt i planet.
$$
dr_lund skrev:Parameterformen verkar korrekt: Du måste ha 2 parametrar för att beskriva ett plan. Däremot blev det lite fel med vektorformen:
Vektorformen för ett plan skrivs
, där
är en vektor i planet och
är en normalvektor till planet.
okej men har jag inte två vektorer? alltså y och z?
Nja y och z är koordinater
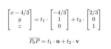
Vektorn kan skrivas som en linjärkombination av två linjärt oberoende vektorer u och v i planet:
dr_lund skrev:Nja y och z är koordinater
okej okej, men hur får jag fram vektorer om jag inte hra några koordinater eller punkter
Ditt exempel är en bra utgångspunkt

Överens?
Fråga: Vad har du för lärobok?
För att vara lite petig, existerar egentligen två vektorformer av planet:
samt
Det finns ett samband mellan dessa två.
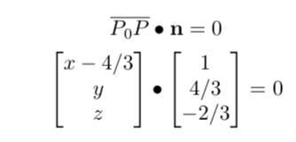
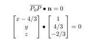
För att fortsätta ditt exempel: Om vi kryssar u med v, får vi en normalvektor n till planet.

Fortsättningsvis bestämmer vi planets ekvation på normalform.
Vi utför skalärprodukten:
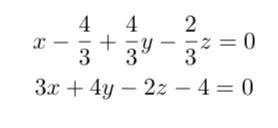
Vi landar i

Det sista uttrycket känner vi igen som normalformen av planets ekvation.
Ganska så elegant, eller hur?
ursäkta men nu har jag rört till det en del, är det ok att vi tar det från början så ska vi se vart det är skon klämmer för mig? för jag känner att det är vissa saker jag inte vet som jag vill identifiera.
Detta är det jag tror jag vet/känner till, så stoppa mig någonstans om jag säger något fel för jag vill förstå detta:
Jag ska alltså hitta parameterekvation av följande plan: 3x + 4y - 2z = 4
så, 3x + 4y - 2z = 4 är en ekvation för ett plan som finns i
parameterekvation skrivs som:
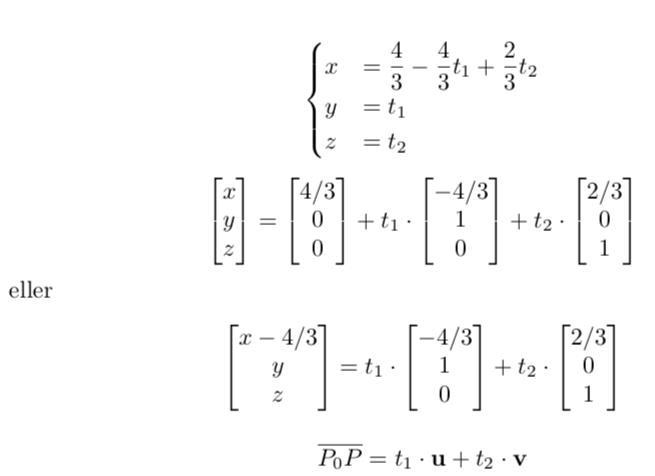
för att fixa detta skriver jag om 3x + 4y - 2z = 4 uttryckt i x så löser x ensamt i VL:
sätter y = t och z = s och skriver om
nu skriver jag detta i parameterformen som ger svaret:
Är detta rätt formulera som jag skrivit här? Svarar det även på frågan och jag är klar med uppgiften?
om JA, har jag följd frågor, om NEJ, vad är fel?
Oerhört tacksam för hjälpen!
Ja, det är korrekt att på så vis bestämma parameterformen för planet utgående från planets normalform.
dr_lund skrev:Ja, det är korrekt att på så vis bestämma parameterformen för planet utgående från planets normalform.
okej tack då är jag med på den biten,
vad är i så fall vektorekvationen av samma plan? jag trodde att var vektor form nämligen? men om det inte är det var är då vektorform? är det när man tar fram koordinater eller vadå?
Den frågan har vi redan varit inne på Se mina tidigare inlägg.
Så skrev jag ang. vektorform:

alternativt

Är vi någorlunda överens?
dr_lund skrev:Den frågan har vi redan varit inne på Se mina tidigare inlägg.
Så skrev jag ang. vektorform:
alternativt
Är vi någorlunda överens?
okej har tittat på alla inlägg här men förstår fortfarande inte skillnaden på hur man skriver i respektive form, det ända jag behöver veta för att knyta ihop säcken kring detta tal är följande, hur skriver man svaret i:
1) parameter form
2) vektor form
Lösningar:
1)
2) ??? det som står i 1) kan ju inte stå i 2) för i så fall är parameterform och vektor form samma sak?
I vektorform skall du svara med en startpunkt plus en vektor. Startpunkten skall ligga i planet. Vektorn skall vara en normal till planet (det finns två olika, vilken som helst går bra).
Smaragdalena skrev:I vektorform skall du svara med en startpunkt plus en vektor. Startpunkten skall ligga i planet. Vektorn skall vara en normal till planet (det finns två olika, vilken som helst går bra).
okej tusen tack!