parametriska kurvor endim2
Hej jag skulle behöva hjälp med en uppgift:


Jag förstår inte hur man ska gå till väga? Har fått en massa hjälp men ingen verkar kunna lösa den, helt omöjlig uppgift. Inte ens läraren kan den :(
Tack på förhand!
Hej
Längs x-axeln:
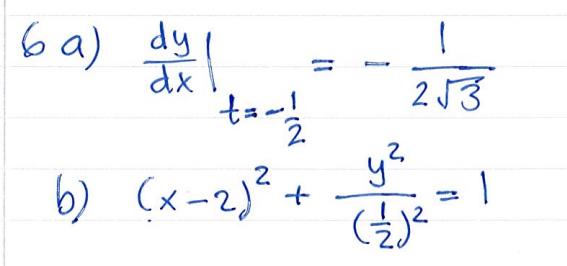
Då t=-1 så är x=3. När t ökar upp till 0 så kommer x att minska till 1. Då t ökar från 0 till 1 så kommer x att öka till 3 igen. Ellipsen har alltså halvaxeln 1 enhet i x-led och centrerad då x=2.
Längs y-axeln:
Då t=-1 så är y=0. Då t ökar till 0 så kommer y att först minska för att sedan öka till 0 igen. Då t går från 0 till 1 så kommer y att först öka för att sedan minska till 0 igen. Ellipsen är alltså centrerad då y=0. Återstår att ta reda på hur långt ellipsen sträcker sig i y-led. Vi deriverar y med avseende på t och sätter till noll för att hitta max och min. Detta inträffar då t =+- 1/roten(2). Då blir y-max=1/2 och y-min=-1/2. Alltså halvaxel i y-led 1/2 enhet.
Detta ger att ellipsens ekvation blir (x-2)² + (y/(1/2))² = 1
Tack så mycket jamolettin! Nu har jag löst uppgiften