3 svar
159 visningar
CooltMedKemi_ behöver inte mer hjälp
CooltMedKemi_ 211
Postad: 11 jan 2022 14:47

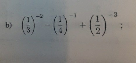
Parenteser, upphöjda tal.

Hej! 

Jag behöver få till talet +8 för att få till rätt svar, men jag vet inte hur jag ska tänka.

Tack på förhand

Smutstvätt 23652 – Moderator
Postad: 11 jan 2022 14:49

Var kommer minustecknet mellan mitten- och högerbråket ifrån? Borde det inte vara plus där? :)

Smaragdalena 78892 – Avstängd
Postad: 11 jan 2022 14:53

Kan du förklara hur mycket 2-1  är?

Yngve 42667
Postad: 11 jan 2022 15:08
CooltMedKemi_ skrev:

Hej! 

9/1 = 9

4/1 = 4

8/1 = 8

Det betyder att 9/1 - 4/1 + 8/1 = 9 - 4 + 8 = 5 + 8 = 13

Svara
Close