Parti med defekta lådor: var ligger mitt misstag?
Hej! Jag har en fråga om följande uppgift, som jag helt enkelt inte kan få fram rätt svar på.
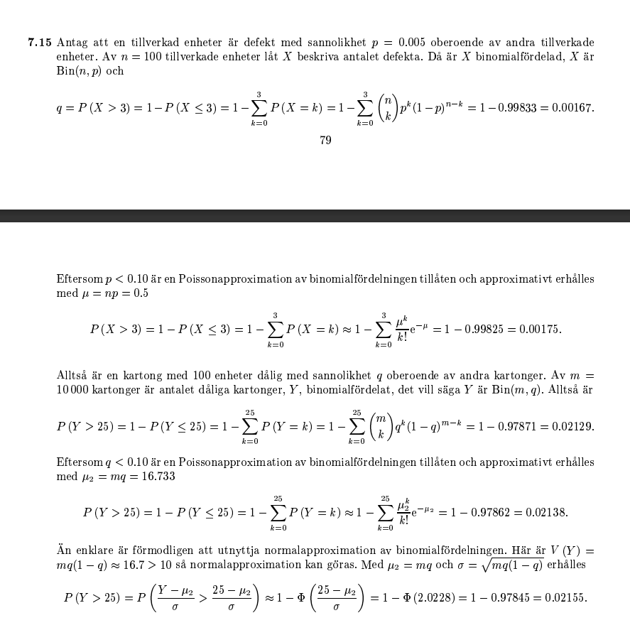
(7.15 i Gunnar Blom m.fl., Sannolikhetsteori och statistikteori med tillämpningar)
En fabrik massproducerar detaljer. Varje detalj blir defekt oberoende av varandra. Sannolikheten för detta är 0.005.Efter produktion förpackas detaljerna i lådor utan kontroll. Man klassificerar en "dålig låda" som en låda som innehåller ffler än 3 defekta detaljer. Vad är sannolikheten att i ett parti på 10,000 lådor så är fler än 25 lådor dåliga?
Jag tänkte att sannolikheten att detaljer är defekta i en låda ges av
Låt vara en s.v. med antalet defekta detaljer i en låda.
För att fler än 25 lådor ska vara dåliga så krävs då att eller fler detaljer ska vara defekta (en "OK" låda är ju om upp till 3 detaljer är defekta)
Om vi låter partiet med 10,000 lådor och dess felaktiga lådor vara en stokastisk variabel:
Vi har att
Applicerar C.G.S. (Centrala gränsvärdessatsen), så är approximativt normalfördelad med
Men om jag då räknar ut så får jag att det är som söks, vilket inte lirar rätt med varken intuition eller facit. Var ligger mitt misstag?
Det här är bra

Det är slh-funktionen för att det är k deffekta enheter i en låda utav 100 st. Beräkna nu slh för att en hel låda klassas som dålig. Var är kriteriet för att en låda är dålig. Hur ser slh ut tecknat med slh-fkn ovan? Vad blir det numeriska värdet på den slh?
Trinity2 skrev:Det här är bra
Det är slh-funktionen för att det är k deffekta enheter i en låda utav 100 st. Beräkna nu slh för att en hel låda klassas som dålig. Var är kriteriet för att en låda är dålig. Hur ser slh ut tecknat med slh-fkn ovan? Vad blir det numeriska värdet på den slh?
Javisst, det är . Faktum är att nu har jag varit lite taskig och undanhållit information igen för att det ska vara lättare att se vad jag undrar över. Uppgiften ber en att:
a) Beräkna sannolikheten att en kartong är dålig
b) Beräkna sannolikheten att det finns fler än 25 dåliga kartonger i ett parti med 10,000 stycken
men det är bara b) jag haft problem med (och återspeglar i OP).
Och visst, jag ser hur man kan göra som lösningsförslaget gör genom att använda sannolikheten för en kartong (antar att det är det du också vill hinta om):

Men min fråga handlar mer om vad jag gjort för fel. Har jag missat ett kriterium/använt en otillåten räkneregel/liknande är det jag är ute efter att hitta.
"Felet" ligger i att tro att man kan se på helheten, d.v.s. ≥100 detaljer skall vara kriteriet för att hela sändningen om 10000 lådor skall underkännas. Om en (1) låda har 100 felaktiga detaljer (eller om 2 har 50 fel var), skall då hela sändningen underkännas?
Du måste lösa det i två steg.
1. Slh för att en låda kasseras
2. Slh för att sändningen underkänns.
Åh, just ja. Tack!
