1
svar
151
visningar
timezzz behöver inte mer hjälp
Partialbråksuppdelning
Jättetacksam för hjälp!!!
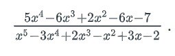
Försöker lösa en uppgift som går ut på att lösa följande med partialbråksuppdelning:

Jag får detta som delsteg:

är mest osäker på ifall det ska stå Cx+D som täljare i högerledet... och hur gör jag sen?
Du skall bara ha faktorer av grad 1 och 2 i nämnaren, så du behöver skriva om den tredje faktorn!