Partialbråksuppdelning
Hej, jag har fastnat lite på denna uppgift.

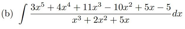
Jag har polynomdividerat det och fick då en rest på 5x-5, det ser då ut såhär.
Sedan vet jag att man ska göra en partialbråksuppdelning men vet inte hur jag ska ta mig an resten.
Ska jag kvadratkomplettera nämnaren såhär?
och isåfall, vad gör jag sen med + 4 när det gäller partialbråksuppdelning?
All hjälp uppskattas!
Du behöver inte ta hänsyn till resten. Fokusera på bråket istället.
Vanligtvis så gillar man inte pbu med komplexa faktorer, men det går. Enklast är att låta ena nämnaren vara andragradaren och den första vara x, sen är det bara lösa fram konstanterna, så har du ett väldigt enklet uttryck att integrera.
Grejen är den, när jag försökte partialbråksuppdela utan att kvadratkomplettera så kom jag såhär långt.

Sen vet jag ej vad jag ska göra med
Sorry för min värdelösa skrifstil, säg till om du ej ser vad det står.
Det ser bra ut.
1/x är ju en enkel integral.
Det andra bråket kan du skriva isär som två bråk med täljare (x+1) i det ena och täljare 6 i det andra.
Poängen är att derivatan av nämnaren är 2(x+1).
Alltså vill du ha x+1 i täljaren för en enkel substitution.
Då blir integralen av det första bråket något med ln
och det andra kan du kvadratkompletetera nämnaren så den integralen blir något med arctan.
Perfekt ju! Tack så mycket!