Partialbråksuppdelning
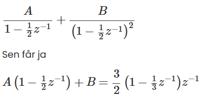
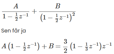
Jag förstår inte hur de får högerledet. Börjar med att skriva
Sen får ja
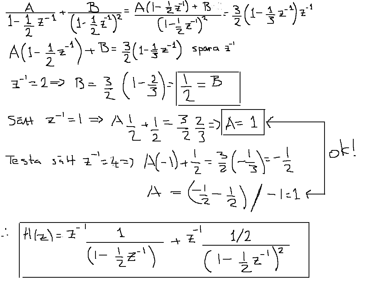
Sätter z-1=2 och löser ut B=1. För att beräkna A sätter jag z-1 till något slumpmässigt och tillsammans med B=1 löser jag ut A. Men borde jag inte få samma värde för A oavsett vad jag sätter z-1 till? För det får jag inte. Men hur som helst så får jag fram konstanter, reella värden, och i lösningen finns det z-1 med, vilket jag inte förstår.

När man gör PBU med z-transformen, så vill man ofta spara en faktor utanför bråket:
Om man inte så önskar, så behöver man inte spara faktorn . Notera dock att följande PBU inte kan funka:

Det beror på att nämnaren är en andragradare och täljaren är också en andragradare. PBU kräver att gradtalet i täljaren är mindre än gradtalet i nämnaren. Annars får man polynomdividera först och därefter PBU:a.
Vill man göra en omskrivning av överföringsfunktionen utan att spara , så måste man först utföra lång division, och sedan kan man PBU:a.
LuMa07 skrev:När man gör PBU med z-transformen, så vill man ofta spara en faktor utanför bråket:
Om man inte så önskar, så behöver man inte spara faktorn . Notera dock att följande PBU inte kan funka:
Det beror på att nämnaren är en andragradare och täljaren är också en andragradare. PBU kräver att gradtalet i täljaren är mindre än gradtalet i nämnaren. Annars får man polynomdividera först och därefter PBU:a.
Vill man göra en omskrivning av överföringsfunktionen utan att spara , så måste man först utföra lång division, och sedan kan man PBU:a.
Kan jag inte helt enkelt spara z-1 och använda mig av följande 
Cien skrev:LuMa07 skrev:...Kan jag inte helt enkelt spara z-1 och använda mig av följande
Absolut! Det funkar utmärkt.
LuMa07 skrev:
Nu ska allt funka! tack ska du ha!


