1
svar
106
visningar
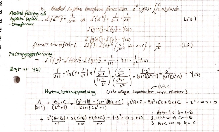
Partialbråksuppdelning med tre konstanter
[Laplace]
Hej, suttit med denna uppgift ett tag och försökt klura ut hur jag ska dela upp uttrycket i bråk men lyckas inte. Någon som vet hur man gör?
Jag förstår inte riktigt vad du vill ha hjälp att dela upp men på svenska wikipedia kan du se lämpliga ansatser https://sv.m.wikipedia.org/wiki/Partialbråksuppdelning