Partialbråkuppdela - en annan räkneexempel


Jag är fastnat med koefficienten B och C.
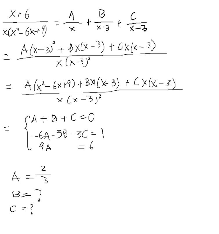
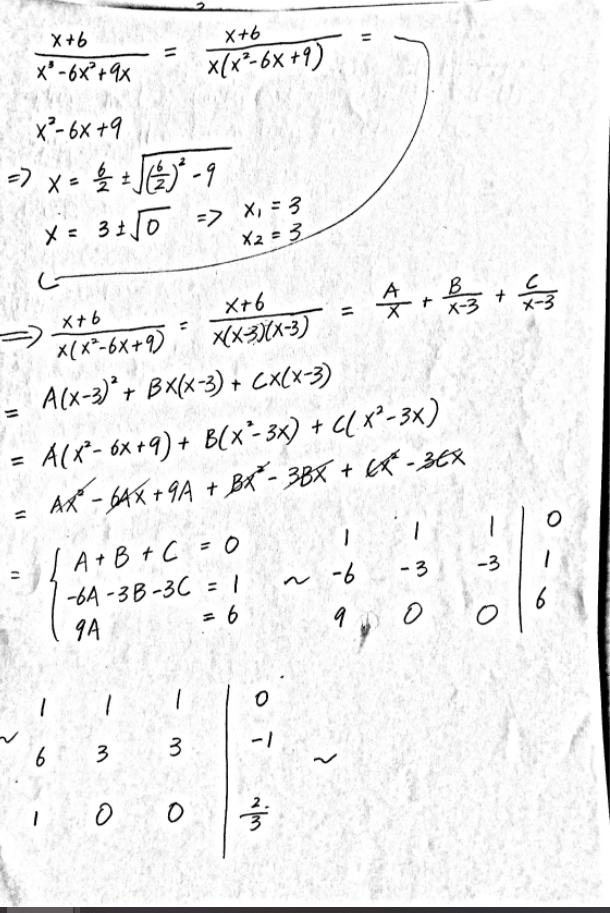
Så här har ja gjort:


Du behöver ha (x-3)2 i nämnaren på andra termen (den med B i täljaren), annars får du inte ihoå det. Läs här.
Smaragdalena skrev:Du behöver ha (x-3)2 i nämnaren på andra termen (den med B i täljaren), annars får du inte ihoå det. Läs här.
Jag förstår inte så mycket från Wikipedia, kan du ge mig länkar till någon video som går igenom hur man partialuppdela nämnare som är polynom med mer än två grad.
Smaragdalena skrev:Du behöver ha (x-3)2 i nämnaren på andra termen (den med B i täljaren), annars får du inte ihoå det. Läs här.
Varför måste vi ha (x-3)^2 på andra termen?
Varför kan vi inte skriva så här istället:

Jodå, det går precis lika bra.
Det finns lite knep.
Multiplicera med mina gemensamma nämnare x(x-3)^2
x+6 = A(x-3)^2 + Bx(x-3) + Cx
x=0 ger 6 = A*9 varför A=2/3
x=3 ger 9 = 3C varför C=3
x=4 ger 10 = A + 4B + 4C = 2/3 + 4B + 12 varför B=-2/3