Partialbråkuppdela - räkneexempel

Hur utför man partialbråkuppdelning?
För att kunna partialbråksuppdela måste nämnaren vara skriven i faktoriserad form. Därefter finns det specifika uppdelningar som ska göras, beroende på vilka faktorer du har. Kika gärna i på wikipedias artikel om partialbråksuppdelning.

Vi ska använda denna ansats, stämmer det?
Nja, inte riktigt. Hur har du faktoriserat uttrycket? :)

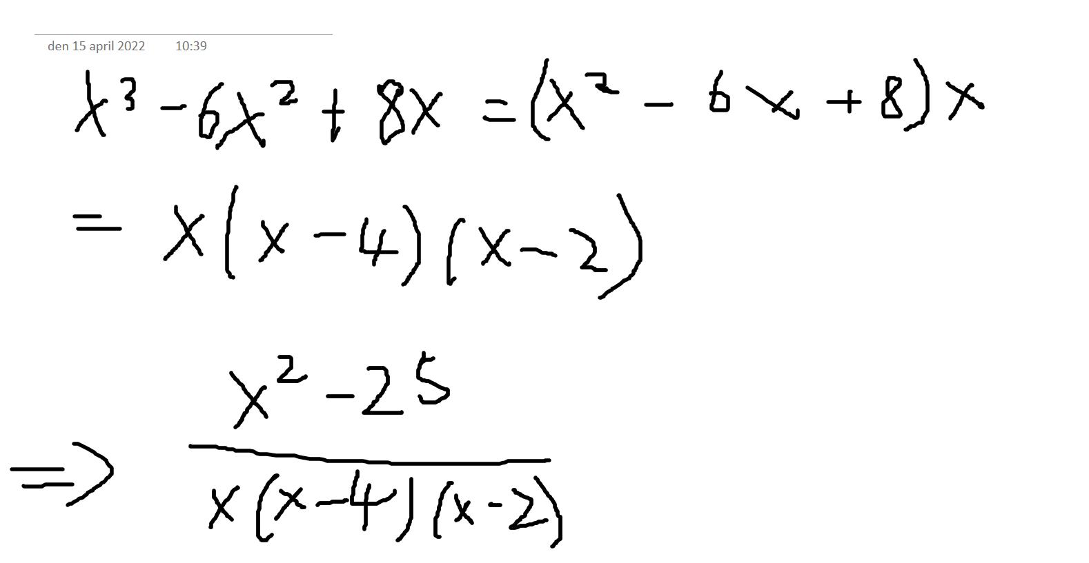
Så här har faktoriserat nämnaren.
Det ser bra ut! Då behöver vi ansätta . :)
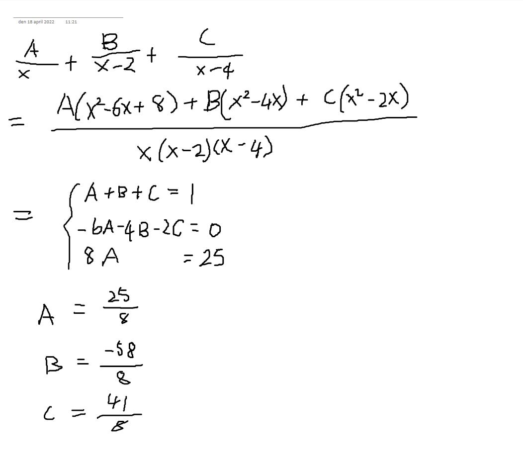
Jag räknat det blir:
A=25/8
B=-58/8
C=41/8

Tekniken är rätt, men det blir ett slarvfel på vägen. Tänk på att , inte +25. I övrigt ser beräkningarna korrekta ut, så om du bara korrigerar värdet på A, och tar fram de nya värdena på B och C, så är du färdig sedan. :)
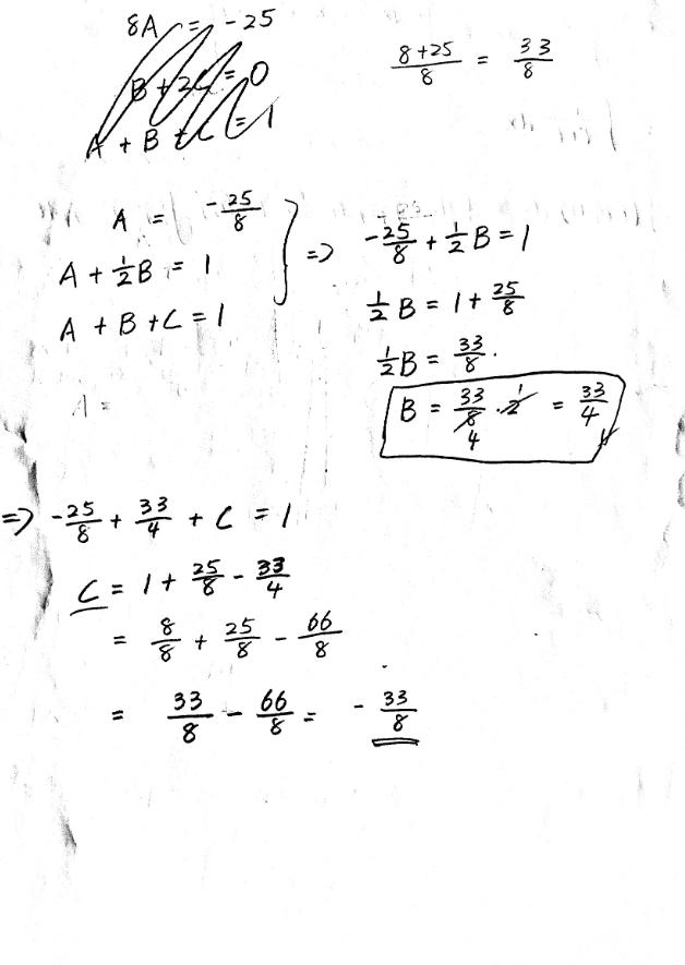
Sätter 8A=-25 så:
A=-25/8
B=33/4
C=-33/8
Stämmer det?
Nej, tyvärr inte. Om du visar dina beräkningar, så kan vi säkert hitta var det blivit knasigt. :)
Vad händer med sexan på rad två (första kolonnen) mellan rad två och tre? :)
Smutstvätt skrev:Vad händer med sexan på rad två (första kolonnen) mellan rad två och tre? :)
Kan du markerar i bilden var du ser felet är. För att jag gjort denna beräkningen några dag sedan kan inte längre komma ihåg varje detaljer. Så det är väldigt svårt för mig att hänga med när du säger felet finns i någon kolonn eller i vilken rad.
Dessa två stycken/rader:

Först har du
men sedan skriver du att
Jag får inte riktigt ihop det steget. Det kan vara där problemen uppstår. :)
och

