Partialbråkuppdelning
Ok, en till, kanske sista av dagen.
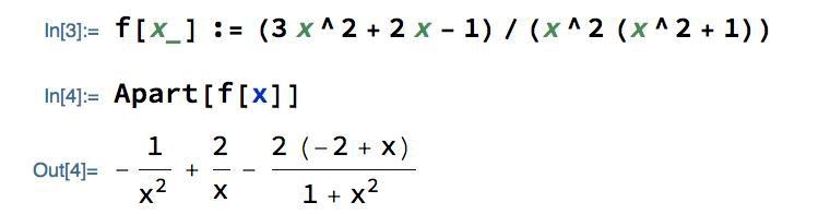
Integrera:
Innan jag drar ut integrationskatten, 
måste jag nog partialbråkuppdela, och en av dessa faktorer i nämnaren är irreducibla.
Jag kommer ihåg att vi har suttit med Albiki för att partialbråkuppdela med stil, men jag kommer inte ihåg hur det fungerar för irreducibla nämnarna.
Jag har börjat med:
, men utveckling av det ger mig och ... Men mathematica säger olika och hon brukar vara rätt:

Hur partialbråkuppdelar jag min funktion, så att integrationskatten får paradera?
Edit: jag bytt till matte 4 för jag såg på den gamla PA att partialbråkuppdelning kommer upp i matte 4 (jag själv kommer inte ihåg det, men okej)
God morgon Affe!
Jag har kanske hittat mitt fel, det ser ut som jag multiplicerar med en faktor för mycket... jag ska försöka hitta rätt täljaren (som du skrev åt mig)...
Edit: tack Affe, med täljaren som du skrev ut förstådd jag misstaget! Jag har nämligen multiplicerat A, B, C och D med en multiplicitet (?) för mycket :)
Jag tycker du borde lära dig Heaviside's cover-up method. Den gör det mycket enklare att hitta koefficienter för enklare partialbråksuppdelningar (framför allt linjära faktorer):
http://math.mit.edu/~jorloff/suppnotes/suppnotes03/h.pdf
Exempelvis kan man hitta partialbråksuppdelningen till
utan att behöva använda sig av ett enda ekvationssystem!
Men funkar den i fall där vi har flera likadana nämnare?
Till ex här:
vi har ju x i nämnare under A, under B, och i nämnare för Cx+D har vi en irreducibel (x^2+1)?
Om det är handpålägg metod du syftar på jag brukar använda den när jag har enkla bråk med olika nollställe i nämnaren...
Jaha, vad bra, om du redan kan den så. :-)
I det här fallet funkar ju bara handpåläggningsmetoden på -koefficienten (d.v.s. täck över i nämnaren och sätt in ), men om du gör det kan du ju förenkla ekvationssystemet i och med att du vet -koefficienten.
Jag hade för mig att den gick inte att använda för osnälla tal :). Men jag är alltid tacksam för tips!
Om jag sätter x=0, får jag inte en division med noll för A? Eller vänta nu, den förenklas ju.
Just det, -termen försvinner. Vad man egentligen gör är ju att man multiplicerar båda led med , vilket gör att -termen blir:
vilket i sin tur gör att den försvinner när .
Tack Alvin, det var alldeles rätt, jag borde använda handpålägg oftare!