Partialintegration
Bestäm med hjälp av partial integration
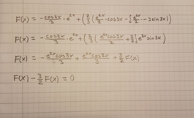
Får HL till 0 i slutet, vart blir det fel ?

Var kom tvåan på andra raden från?
Nejnejnej herregud du får inte läsa det där!
Från andra till tredje raden integrerar du cos3x istället för att derivera den
Qetsiyah skrev:Var kom tvåan på andra raden från?
Nejnejnej herregud du får inte läsa det där!
Från andra till tredje raden integrerar du cos3x istället för att derivera den
Tack, lovar att jag inte läst ;)
Men får ändå HL till 0 i slutet 
Jag kan inte se något fel mer...
Detta ska egentligen inte spela någon roll, men försök igen och välj samma funktion att integrera i båda partiella integrationer, först integrerar du cos, sedan e^2x, prova istället att integrera e^2x båda gånger istället
ps nu kommer ingen svara heller när de ser att denna tråd har svar redan. maydayy!!!!
På tredje raden bör det bli sinus i båda termerna inuti parentesen.
Förslag:

Smaragdalena skrev:På tredje raden bör det bli sinus i båda termerna inuti parentesen.
Altså att jag borde ha valt cos3x till mitt F(X) och e^2x som g(x) i formeln för partiellintegration istället för tvärt om?
Om ja , hur såg du att man borde göra så , är det något man lär sig att "se" med tiden , eller har jag missat något ?
Man kan välja vilket som - hanteringen av minustkn vid integreringen bör vara jämförbar
dr_lund skrev:Förslag:
Tack, det jag inte hänger med på är hur jag avgör vilken av sinx och e^x jag väljer att integrera i formeln för part-integration i starten. Handlar det återigen om att nöta tills man "ser" eller missar jag något som gör att jag tycker det är svårt att avgöra ?
Tack alla, har fått en hyffsad förståelse för detta nu