5 svar
117 visningar
F.Blue 11 – Fd. Medlem
Postad: 10 jan 2024 09:10

Partialintegration

Hej! :)
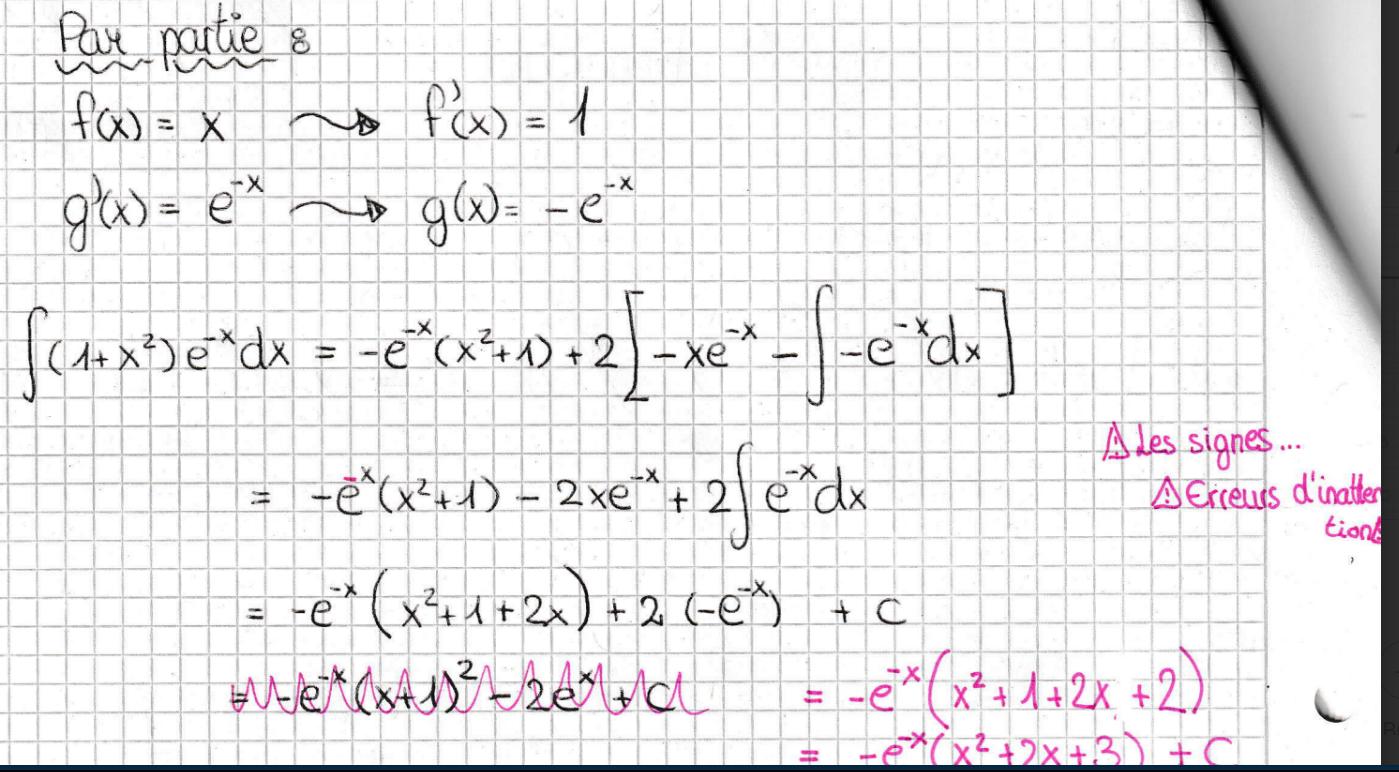
1) Hur kommer det sig att de bestämmer sig för att göra partiallintegration två gånger? 2) Hur bestämmer man vilken funktion som är f(x) och vilken som g'(x) i den ursprungliga (1+X^2)e^(-x )dx. 3) Spelar vilken funktion som är f(x) och g(x) inte någon roll? 

MrPotatohead 8118 – Moderator
Postad: 10 jan 2024 09:24

För att utföra själva partialintegrationen spelar det ingen roll vilken funktion som är vilken, men för att lösa problemet snabbast så väljer man väl oftast den som med minst antal deriveringar blir en konstant. 

F.Blue 11 – Fd. Medlem
Postad: 10 jan 2024 09:35

Värdefull info. Tack!

F.Blue 11 – Fd. Medlem
Postad: 10 jan 2024 09:42

Jag är dock fortsatt fundersam om hur man vet om ytterliga interna partiella integration ska göras för i exemplet ovan verkar det som att det gjordes två styckna

MrPotatohead 8118 – Moderator
Postad: 10 jan 2024 09:45
F.Blue skrev:

Värdefull info. Tack!

Förtydligande: det jag menar med att det går att utföra integrationen är helt enkelt att det går att använda formeln. Detta behöver inte leda till en lösning. Kanske gör man bara allt krångligare. 

Smaragdalena 78892 – Avstängd
Postad: 10 jan 2024 09:46

Funktionen är en produkt av an exponenialfunktion och en andragradsfunktion.  Derivatan av en exponentialfunktion, så där tjänar vi inget. Derivatan  av  en  andragradsfunktion är en förstagradsfunktion, och derivatan av denna är konstant. Då är vi nöjda, för en exponentialfunktion multiplicerad med en konstant kan vi integrera.

Svara
Close