6 svar
308 visningar
Anto 367
Postad: 10 feb 2024 14:24

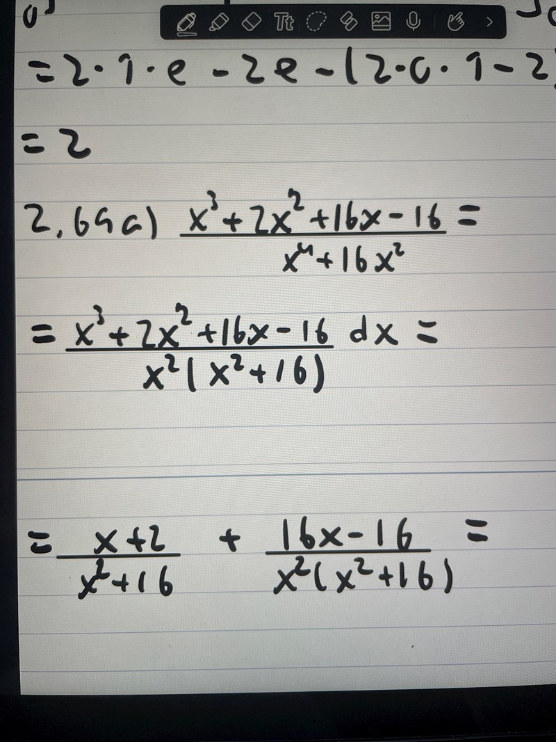
Partialintegration

Ska integrera uttrycket högst upp. Har börjat så här. Den vänstra termen känns som den kommer kunna integreras med arctan. Hur fortsätter jag, eller ser någon ett bättre sätt? 

coffeshot 431
Postad: 10 feb 2024 14:33

Har ni gått igenom metoden partialbråksuppdelning?

Anto 367
Postad: 10 feb 2024 14:34

Sorry! Ja det har vi. Denna uppgift använder partialbråksuppdelning, inte partiell integration. Blandar ofta ihop dessa!

coffeshot 431
Postad: 10 feb 2024 14:38

Ah, ja jag ser det nu när jag tittar på din lösning. Vad fastnar du på, är det bara generellt hur du ska gå vidare därifrån?

(Ps. Glöm inte integraltecknet \int framför funktionen du integrerar när du skriver din lösning:) detsamma med dxdx))

Anto 367
Postad: 10 feb 2024 14:39

Precis jag fastnar lite med högertermen. Vänstertermen tror jag jag kan lösa.

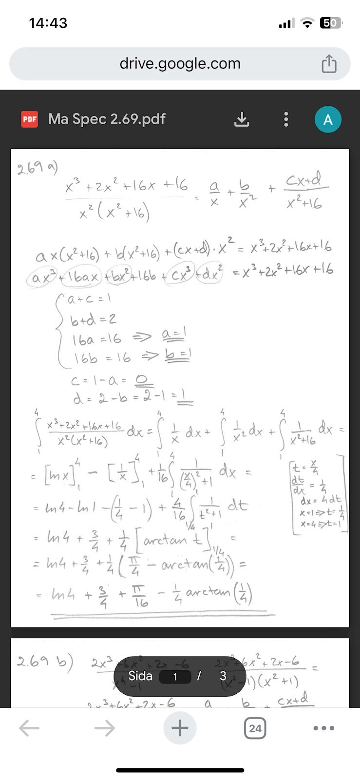
ItzErre 1575
Postad: 10 feb 2024 18:58

Du ska ansätta:

Ax+Bx2+Cx+dx2+16

Anto 367
Postad: 28 feb 2024 14:45

Här ansätter dem som skrevs ovan men jag fattar inte hur? För det första blir det en faktor x för mycket i nämnaren och sedan när de multiplicerar gör dem det på ett ovanligt sätt på andra raden. a termen exempelvis multipliceras med x och inte x2 som det borde göras med korsmultiplikation. Jag ser dock att det funkar och när jag testar baklänges blir det rätt. Kan någon förklara hur ansättningen funkar???

Svara
Close