3 svar
88 visningar
jonte12 behöver inte mer hjälp
jonte12 472
Postad: 9 mar 2022 16:28

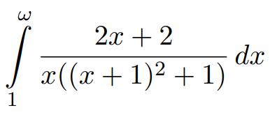
partiallbråksuppdelning och integration

limω
Vid denna integralen tänker jag att den kan vara bra att göra en partialbråksuppdelning. Hur ska jag gör den? Ska jag ansätta 2x+xx((x+1)2+1)=Ax+Bx+C(x+1)2+Dx+E(x+1)2+1? Är detta ens rätt? Sen förstår jag inte häller hur jag ska lösa denna, om det är rätt?

Laguna Online 31795
Postad: 9 mar 2022 16:38

Nämnaren (x+1)2 verkar inte användbar. Det borde räcka med de andra.

Primitiv funktion till 1/(x2+1) är nånting med arctan.

jonte12 472
Postad: 9 mar 2022 19:10 Redigerad: 9 mar 2022 19:17
Laguna skrev:

Nämnaren (x+1)2 verkar inte användbar. Det borde räcka med de andra.

Primitiv funktion till 1/(x2+1) är nånting med arctan.

ok, men täljaren ser rätt ut?

När jag gjorde det fick jag 1x-x(x+1)2+1

Micimacko 4136
Postad: 9 mar 2022 20:03

(x+1)^2 ska inte vara med, för det är ingen faktor i nämnaren. Om det hade varit det så brukar man dela upp den i 2, så att man får A/(x+1) + B/(x+1)^2 istället för den du valde med en förstagradare som täljare. Egentligen är de ekvivalenta, men man väljer nästan alltid den formen som går att integrera i nästa steg utan att jobba ihjäl sig 😉

Svara
Close