Partialtryck
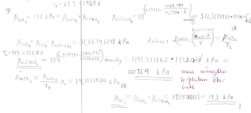
Uppgift: Luften i en sluten behållare där totaltrycket är 100 kPa mättas med n-pentan vid
25 °C. Beräkna partialtrycket av n-pentan och totaltrycket i behållaren om den
upphettas till 50 °C.
Så här har jag svarat. Någon som kan se varför jag inte fått full pott på denna (2 poäng), utan bara 1 p? Kommentaren "men mängden n-pentan ökar inte" borde ge ledning, men förstår inte...

Luften är inte mättad med pentan vid 50oC enligt uppgiftstexten. Det är lika många % pentan som det var vid 25oC.
Hmm, betyder det alltså att jag borde ha använt formeln P2 = P1 * ( T2 / T1 ) även för partialtrycket av n-pentan?
Så här?
Pn-pentan,1 = 512,537 * 133,32 * 10-3 = 68,332 kPa (enligt ovan)
Pn-pentan,2 = Pn-pentan,1 * (T2 / T1 ) = 68,332 kPa * (232,15 K / 298,15 K) = 74,062 kPa